Online Database of Chemicals from Around the World

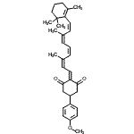
2-[(2Z,4Z,6Z,8Z)-3,7-二甲基-9-(2,6,6-三甲基-1-环己烯-1-基)-2,4,6,8-壬四烯-1-亚基]-5-(4-甲氧基苯基)-1,3-环己烷二酮
[CAS# 73685-21-9]

供应商
CAS#: 73685-21-9
产品: 2-[(2Z,4Z,6Z,8Z)-3,7-二甲基-9-(2,6,6-三甲基-1-环己烯-1-基)-2,4,6,8-壬四烯-1-亚基]-5-(4-甲氧基苯基)-1,3-环己烷二酮
暂时没有厂家供应该产品。
基本信息
产品名称 2-[(2Z,4Z,6Z,8Z)-3,7-二甲基-9-(2,6,6-三甲基-1-环己烯-1-基)-2,4,6,8-壬四烯-1-亚基]-5-(4-甲氧基苯基)-1,3-环己烷二酮
英文名 2-[(2Z,4Z,6Z,8Z)-3,7-Dimethyl-9-(2,6,6-trimethyl-1-cyclohexen-1-yl)-2,4,6,8-nonatetraen-1-ylidene]-5-(4-methoxyphenyl)-1,3-cyclohexanedione
别名 1,3-Cyclohexanedione, 2-(3,7-dimethyl-9-(2,6,6-trimethyl-1-cyclohexen-1-yl)-2,4,6,8-nonatetraenylidene)-5-(4-methoxyphenyl)-, (all-E)-; 2-(3,7-Dimethyl-9-(2,6,6-trimethyl-1-cyclohexen-1-yl)-2,4,6,8-nonatetraenylidene)-5-(4-methoxyphenyl)-1,3-cyclohexanedione (all-E)-; 2-Retinylidene-5-p-methoxyphenyl-1,3-cyclohexanedione, trans-
分子结构 CAS 登录号:73685-21-9, 2-[(2Z,4Z,6Z,8Z)-3,7-二甲基-9-(2,6,6-三甲基-1-环己烯-1-基)-2,4,6,8-壬四烯-1-亚基]-5-(4-甲氧基苯基)-1,3-环己烷二酮
分子式 C33H40O3
分子量 484.67
CAS 登录号 73685-21-9
分子行输入简码 SMILES O=C2/C(C(=O)CC(c1ccc(OC)cc1)C2)=C\C=C(/C=C\C=C(/C=C\C3=C(/C)CCCC3(C)C)C)C
国际化学标识码 InChI 1S/C33H40O3/c1-23(9-7-10-24(2)13-19-30-25(3)11-8-20-33(30,4)5)12-18-29-31(34)21-27(22-32(29)35)26-14-16-28(36-6)17-15-26/h7,9-10,12-19,27H,8,11,20-22H2,1-6H3/b9-7-,19-13-,23-12-,24-10-,29-18-
国际化学标识检索码 InChIKey KSHAYCLRFWTRIQ-WPJCTVLTSA-N
物理化学性质
密度 1.087g/cm3 (计算值)
沸点 661.6°C at 760 mmHg (计算值)
闪点 276.512°C (计算值)
市场分析报告
请浏览2-[(2Z,4Z,6Z,8Z)-3,7-二甲基-9-(2,6,6-三甲基-1-环己烯-1-基)-2,4,6,8-壬四烯-1-亚基]-5-(4-甲氧基苯基)-1,3-环己烷二酮市场分析报告总目录
相关产品
四乙基膦烷盐酸盐(1:1)  1-(2-丁炔-1-基)-4-乙基-2,5-二甲基...  双环[3.2.1]辛烷-3-胺  2-(3-乙基-2-环氧乙烷基)-2-甲基-2,3...  2-氨基-1-(5-甲氧基-2-甲基苯基)-1-丙...  2-(乙基氨基)乙基4-氨基苯甲酸酯  3-[1-(氨基氧基)乙基]吡啶  2-O-alpha-D-吡喃葡萄糖基-D-半乳糖  5-(1H-咪唑-4-基)戊烷脒  6-氨基-1-乙基-4-(乙基氨基)-2-亚氨基-...  6-氨基-6-(羟基甲基)-5,6,7,8-四氢-...  (3S,9aS)-八氢-2H-喹嗪-3-基乙酸酯  2-(1H-氮杂卓-4-基氧基)乙醇  5-氨基-2-乙炔基-L-正亮氨酸  (二乙基氨基)甲基氢亚硫酸酯