基本信息
| 产品名称 |
3,6-二氨基-N-[(6E)-3-(2-氨基-3,4,5,6-四氢嘧啶-4-基)-6-[(氨基甲酰氨基)亚甲基]-9-[(3,6-二氨基己酰氨基)甲基]-12-(羟基甲基)-2,5,8,11,14-五氧代-1,4,7,10,13-五氮杂环十六烷-15-基]己酰胺 |
| 英文名 |
3,6-Diamino-N-[(6E)-3-(2-Amino-3,4,5,6-Tetrahydropyrimidin-4-Yl)-6-[(Carbamoylamino)Methylidene]-9-[(3,6-Diaminohexanoylamino)Methyl]-12-(Hydroxymethyl)-2,5,8,11,14-Pentaoxo-1,4,7,10,13-Pentazacyclohexadec-15-Yl]Hexanamide |
| 别名 |
3,6-Diamino-N-[(6E)-3-(2-Amino-3,4,5,6-Tetrahydropyrimidin-4-Yl)-9-[(3,6-Diaminohexanoylamino)Methyl]-12-(Hydroxymethyl)-2,5,8,11,14-Pentaoxo-6-(Ureidomethylene)-1,4,7,10,13-Pentazacyclohexadec-15-Yl]Hexanamide; 3,6-Diamino-N-[(6E)-3-(2-Amino-3,4,5,6-Tetrahydropyrimidin-4-Yl)-9-[[(3,6-Diamino-1-Oxohexyl)Amino]Methyl]-12-(Hydroxymethyl)-2,5,8,11,14-Pentaoxo-6-(Ureidomethylene)-1,4,7,10,13-Pentazacyclohexadec-15-Yl]Hexanamide; 3,6-Diamino-N-[(6E)-3-(2-Amino-3,4,5,6-Tetrahydropyrimidin-4-Yl)-9-[(3,6-Diaminohexanoylamino)Methyl]-2,5,8,11,14-Pentaketo-12-Methylol-6-(Ureidomethylene)-1,4,7,10,13-Pentazacyclohexadec-15-Yl]Hexanamide |
|
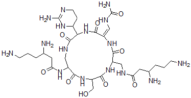
| 分子结构 |
![CAS 登录号:74240-43-0, 3,6-二氨基-N-[(6E)-3-(2-氨基-3,4,5,6-四氢嘧啶-4-基)-6-[(氨基甲酰氨基)亚甲基]-9-[(3,6-二氨基己酰氨基)甲基]-12-(羟基甲基)-2,5,8,11,14-五氧代-1,4,7,10,13-五氮杂环十六烷-15-基]己酰胺](/moreStructures/74240-43-0.gif) |
| 分子式 |
C31H56N16O9 |
| 分子量 |
796.89 |
| CAS 登录号 |
74240-43-0 |
| 分子行输入简码 SMILES |
C(NC(=O)CC(N)CCCN)C1NC(=O)C(NC(=O)C(NC(=O)CC(N)CCCN)CNC(=O)C(NC(=O)\C(NC1=O)=C/NC(=O)N)C2NC(=NCC2)N)CO |
| 国际化学标识码 InChI |
1S/C31H56N16O9/c32-6-1-3-15(34)9-22(49)39-11-19-26(52)43-20(13-41-31(37)56)27(53)47-24(17-5-8-38-30(36)46-17)29(55)40-12-18(25(51)45-21(14-48)28(54)44-19)42-23(50)10-16(35)4-2-7-33/h13,15-19,21,24,48H,1-12,14,32-35H2,(H,39,49)(H,40,55)(H,42,50)(H,43,52)(H,44,54)(H,45,51)(H,47,53)(H3,36,38,46)(H3,37,41,56)/b20-13+ |
| 国际化学标识检索码 InChIKey |
NNHAOUAWUNAJJO-DEDYPNTBSA-N |
|