Online Database of Chemicals from Around the World

(2R,3S,4R,5R)-N-(2-氨基乙基)-2,3,4,5,6-五羟基己酰胺
[CAS# 74426-36-1]

供应商
CAS#: 74426-36-1
产品: (2R,3S,4R,5R)-N-(2-氨基乙基)-2,3,4,5,6-五羟基己酰胺
暂时没有厂家供应该产品。
基本信息
产品名称 (2R,3S,4R,5R)-N-(2-氨基乙基)-2,3,4,5,6-五羟基己酰胺
英文名 (2R,3S,4R,5R)-N-(2-Aminoethyl)-2,3,4,5,6-pentahydroxyhexanamide
别名 N-(2-aminoethyl)-D-gluconamide
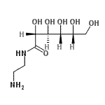
分子结构 CAS 登录号:74426-36-1, (2R,3S,4R,5R)-N-(2-氨基乙基)-2,3,4,5,6-五羟基己酰胺
分子式 C8H18N2O6
分子量 238.24
CAS 登录号 74426-36-1
EINECS 登录号 277-865-8
分子行输入简码 SMILES O[C@H]([C@@H](O)C(=O)NCCN)[C@H](O)[C@H](O)CO
国际化学标识码 InChI 1S/C8H18N2O6/c9-1-2-10-8(16)7(15)6(14)5(13)4(12)3-11/h4-7,11-15H,1-3,9H2,(H,10,16)/t4-,5-,6+,7-/m1/s1
国际化学标识检索码 InChIKey OTKYKZFJTYEDBX-MVIOUDGNSA-N
物理化学性质
密度 1.496g/cm3 (计算值)
沸点 709.874°C at 760 mmHg (计算值)
闪点 383.118°C (计算值)
市场分析报告
请浏览(2R,3S,4R,5R)-N-(2-氨基乙基)-2,3,4,5,6-五羟基己酰胺市场分析报告总目录
相关产品
(1,3-二氧代-2-苯基-2,3-二氢-1H-茚...  3,5-二氨基-1H-吡唑-4-甲酰肼  3,5-二氨基-1-甲基-1H-吡唑-4-羧酸  3-氨基-7-(二甲基氨基)-2,8-二甲基吩恶嗪...  铁(3+)三[(9Z,12R)-12-羟基-9-十...  8-氮杂四环[4.3.0.0<sup>2,5</s...  2,2-二氯-1-环庚基乙酮  5-乙氧基-6-(4-甲氧基苄基)-1,3-苯并二...  (15beta,17beta)-雌甾-1,3,5(...  6-甲氧基-4-嘧啶基二甲基磷酸酯  O-(6-甲氧基-4-嘧啶基)O,O-二甲基硫代磷...  6-乙氧基-4(1H)-嘧啶酮  4,4'-(1,1-十一烷二基)二苯酚  L-gamma-谷氨酰-L-gamma-谷氨酰-L...  (2E)-亚肼基(苯基)乙酸