Online Database of Chemicals from Around the World

瓜参甙
[CAS# 74434-21-2]

供应商
CAS#: 74434-21-2
产品: 瓜参甙
暂时没有厂家供应该产品。
基本信息
产品名称 瓜参甙
英文名 Cucumarioside
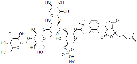
分子结构 CAS 登录号:74434-21-2, 瓜参甙
分子式 C59H92NaO29S
分子量 1320.41
CAS 登录号 74434-21-2
分子行输入简码 SMILES [C@H]%10(O[C@@H]3OC([C@@H](O[C@@H]2O[C@@H]([C@@H](O)[C@H](OC[C@@H]1O[C@@H]([C@@H](O)[C@H](OC)[C@H]1O)CO)[C@H]2O)CO)C(O)[C@H]3O[C@@H]4OC[C@@H](O)[C@H](O)[C@H]4O)C)C(OC9C(C5C(C8C(=CC5)C7C6(C(C(OC6=O)(CCCC(=C)C)C)C(=O)C7)CC8)(CC9)C)(C)C)OC[C@@H](O[S](O)(=O)=O)[C@@H]%10O.[Na+]
国际化学标识码 InChI 1S/C59H92O29S.Na/c1-24(2)10-9-15-58(7)50-29(62)18-28-26-11-12-35-56(4,5)36(14-16-57(35,6)27(26)13-17-59(28,50)55(72)87-58)83-53-48(41(68)34(23-79-53)88-89(73,74)75)86-54-49(85-51-42(69)37(64)30(63)21-78-51)43(70)45(25(3)80-54)84-52-44(71)47(39(66)32(20-61)82-52)77-22-33-40(67)46(76-8)38(65)31(19-60)81-33;/h11,25,27-28,30-54,60-61,63-71H,1,9-10,12-23H2,2-8H3,(H,73,74,75);/q;+1/t25?,27?,28?,30-,31-,32-,33+,34-,35?,36?,37+,38-,39-,40+,41+,42-,43?,44-,45-,46+,47+,48-,49-,50?,51+,52+,53?,54+,57?,58?,59?;/m1./s1
国际化学标识检索码 InChIKey YWZXFPFTUVPZAG-CIFPWLDHSA-N
市场分析报告
请浏览瓜参甙市场分析报告总目录
相关产品
反式-2-甲基环己醇  反式-3-甲基环己醇  顺式-2-甲基环己醇  6-甲氧基双环[2.2.1]庚-2,5-二烯  6-苯基双环[2.2.1]庚-2,5-二烯  N,N'-(O-亚苯基)二苯甲酰胺  3alpha-乙酰氧基-7alpha,12alph...  2-(1,3-二噻戊环-2-亚基)-1-苯基丁烷-...  1,1,1,3,3,3-六氘-2-甲基丙烷  2,2-二(4-氯苯基)乙基十六烷酸酯  N-(2-二乙基氨基乙基)丙-2-烯酰胺盐酸盐  5-乙基-6-苯基菲啶-5-鎓-3-胺氯化物  5-乙基-6-苯基菲啶-5-鎓-8-胺氯化物  3-叠氮基-5-乙基-6-苯基菲啶-5-鎓-8-胺...  3-叠氮基-5-乙基-6-苯基菲啶-5-鎓