基本信息
| 产品名称 |
3',6'-二(4-胍基苯甲酰氧基)-5-(N'-4-羧基苯基)硫脲基螺(异苯并呋喃-1(3H),9'-(9H)氧杂蒽)-3-酮 |
| 英文名 |
3',6'-Bis(4-Guanidinobenzoyloxy)-5-(N'-4-Carboxyphenyl)Thioureidospiro(Isobenzofuran-1(3H),9'-(9H)Xanthen)-3-One |
| 别名 |
Benzoic Acid, 4-((Aminoiminomethyl)Amino)-, 5-((((4-Carboxyphenyl)Amino)Thioxomethyl)Amino)-3-Oxospiro(Isobenzofuran-1(3H),9'-(9H)Xanthene)-3',6'-Diyl Ester; Bgbtsbx; Fluorescein Diester |
|
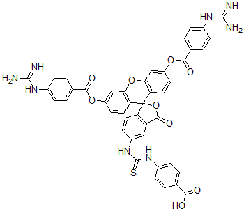
| 分子结构 |
 |
| 分子式 |
C44H32N8O9S |
| 分子量 |
848.85 |
| CAS 登录号 |
75296-16-1 |
| 分子行输入简码 SMILES |
C1=C(C=CC2=C1C(OC25C3=C(C=C(C=C3)OC(C4=CC=C(C=C4)NC(=N)N)=O)OC6=C5C=CC(=C6)OC(C7=CC=C(C=C7)NC(=N)N)=O)=O)NC(=S)NC8=CC=C(C=C8)C(=O)O |
| 国际化学标识码 InChI |
1S/C44H32N8O9S/c45-41(46)49-25-9-3-23(4-10-25)38(55)58-29-14-17-33-35(20-29)60-36-21-30(59-39(56)24-5-11-26(12-6-24)50-42(47)48)15-18-34(36)44(33)32-16-13-28(19-31(32)40(57)61-44)52-43(62)51-27-7-1-22(2-8-27)37(53)54/h1-21H,(H,53,54)(H4,45,46,49)(H4,47,48,50)(H2,51,52,62) |
| 国际化学标识检索码 InChIKey |
LYWNSVUNJBBQBQ-UHFFFAOYSA-N |
|