Online Database of Chemicals from Around the World

N-甲基-N,N-二丙基-1-丙氯化铵
[CAS# 75373-66-9]

供应商
TimTec 美国 询价快递  
+1 (302) 292-8500
info@timtec.com
化学品生产商
基本信息
产品名称 N-甲基-N,N-二丙基-1-丙氯化铵
英文名 N-Methyl-N,N-dipropyl-1-propanaminium chloride
别名 methyl tripropyl ammonium chloride; methyltripropylamine, chloride
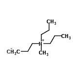
分子结构 CAS 登录号:75373-66-9, N-甲基-N,N-二丙基-1-丙氯化铵
分子式 C10H24ClN
分子量 193.76
CAS 登录号 75373-66-9
分子行输入简码 SMILES [Cl-].CCC[N+](C)(CCC)CCC
国际化学标识码 InChI 1S/C10H24N.ClH/c1-5-8-11(4,9-6-2)10-7-3;/h5-10H2,1-4H3;1H/q+1;/p-1
国际化学标识检索码 InChIKey ZUCOWQZUGKUQCH-UHFFFAOYSA-M
市场分析报告
请浏览N-甲基-N,N-二丙基-1-丙氯化铵市场分析报告总目录
相关产品
2-甲基环戊基丁酸酯  1-(2,4-二甲基-4H-吡唑并[1,5-a]苯...  乙基4-(3,4-二氯苯基)-4-氧代丁酸酯  N-(双环[2.2.1]庚-2-基甲基)-3-戊胺  N-(双环[2.2.1]庚-2-基甲基)-3-戊胺  N-(双环[2.2.1]庚-2-基甲基)-2-戊胺  N2-丁酰基-L-赖氨酸  N2-癸酰-L-赖氨酸  3-[(2E)-2-丁烯-1-基]二氢-2,5-呋...  4-苯基-1,3-噻唑-2-甲醛  4-甲基-N-(2-吡啶基甲基)苯磺酰胺  2-氟-4-甲基-5-硝基苯甲酸  1-(4-甲氧基苯基)-N-(2-硝基苄基)甲胺  四氢-2H-吡喃-2-基乙腈  1,1'-(1,5-萘二基)二{3-[(9Z)-9...