基本信息
| 产品名称 |
21-氨基-6,9,18-三(2-氨基乙基)-3-(1-羟基乙基)-12,15-二(2-甲基丙基)-1,4,7,10,13,16,19-七氮杂环二十三烷-2,5,8,11,14,17,20-七酮 |
| 英文名 |
21-Amino-6,9,18-Tris(2-Aminoethyl)-3-(1-Hydroxyethyl)-12,15-Bis(2-Methylpropyl)-1,4,7,10,13,16,19-Heptazacyclotricosane-2,5,8,11,14,17,20-Heptone |
| 别名 |
21-Amino-6,9,18-Tris(2-Aminoethyl)-3-(1-Hydroxyethyl)-12,15-Diisobutyl-1,4,7,10,13,16,19-Heptazacyclotricosane-2,5,8,11,14,17,20-Heptone; Colistin Heptapeptide; Polymyxin E1, 1-De(N2-(6-Methyl-1-Oxooctyl)-L-2,4-Diaminobutanoic Acid)-2-De-L-Threonine-3-De(L-2,4-Diaminobutanoic Acid)-, (1S-(1Alpha(R*),3Alpha,7Beta,8Beta(2S*,4S*),8Abeta))- |
|
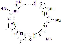
| 分子结构 |
 |
| 分子式 |
C32H61N11O8 |
| 分子量 |
727.90 |
| CAS 登录号 |
75748-25-3 |
| 分子行输入简码 SMILES |
C(C1NC(=O)C(NC(=O)C(NC(=O)C(N)CCNC(=O)C(NC(=O)C(NC(=O)C(NC1=O)CCN)CCN)C(O)C)CCN)CC(C)C)C(C)C |
| 国际化学标识码 InChI |
1S/C32H61N11O8/c1-16(2)14-23-30(49)40-21(7-11-34)27(46)39-22(8-12-35)29(48)43-25(18(5)44)32(51)37-13-9-19(36)26(45)38-20(6-10-33)28(47)41-24(15-17(3)4)31(50)42-23/h16-25,44H,6-15,33-36H2,1-5H3,(H,37,51)(H,38,45)(H,39,46)(H,40,49)(H,41,47)(H,42,50)(H,43,48) |
| 国际化学标识检索码 InChIKey |
HCSATRDQWBMHRF-UHFFFAOYSA-N |
|