Online Database of Chemicals from Around the World

Methyl 4-[4-Dimethylamino-5-[4-Hydroxy-6-Methyl-5-(6-Methyl-5-Oxooxan-2-Yl)Oxyoxan-2-Yl]Oxy-6-Methyloxan-2-Yl]Oxy-2-Ethyl-2,5-Dihydroxy-7-Methoxy-6,11-Dioxo-3,4-Dihydro-1H-Tetracene-1-Carboxylate
[CAS# 76304-86-4]

Suppliers
CAS#: 76304-86-4
Product: Methyl 4-[4-Dimethylamino-5-[4-Hydroxy-6-Methyl-5-(6-Methyl-5-Oxooxan-2-Yl)Oxyoxan-2-Yl]Oxy-6-Methyloxan-2-Yl]Oxy-2-Ethyl-2,5-Dihydroxy-7-Methoxy-6,11-Dioxo-3,4-Dihydro-1H-Tetracene-1-Carboxylate
No suppilers available for the product.
Identification
Name Methyl 4-[4-Dimethylamino-5-[4-Hydroxy-6-Methyl-5-(6-Methyl-5-Oxooxan-2-Yl)Oxyoxan-2-Yl]Oxy-6-Methyloxan-2-Yl]Oxy-2-Ethyl-2,5-Dihydroxy-7-Methoxy-6,11-Dioxo-3,4-Dihydro-1H-Tetracene-1-Carboxylate
Synonyms Methyl 4-[4-Dimethylamino-5-[4-Hydroxy-6-Methyl-5-(6-Methyl-5-Oxo-Tetrahydropyran-2-Yl)Oxy-Tetrahydropyran-2-Yl]Oxy-6-Methyl-Tetrahydropyran-2-Yl]Oxy-2-Ethyl-2,5-Dihydroxy-7-Methoxy-6,11-Dioxo-3,4-Dihydro-1H-Tetracene-1-Carboxylate; 4-[[4-Dimethylamino-5-[[4-Hydroxy-6-Methyl-5-[(6-Methyl-5-Oxo-2-Tetrahydropyranyl)Oxy]-2-Tetrahydropyranyl]Oxy]-6-Methyl-2-Tetrahydropyranyl]Oxy]-2-Ethyl-2,5-Dihydroxy-7-Methoxy-6,11-Dioxo-3,4-Dihydro-1H-Tetracene-1-Carboxylic Acid Methyl Ester; 4-[4-Dimethylamino-5-[4-Hydroxy-5-(5-Keto-6-Methyl-Tetrahydropyran-2-Yl)Oxy-6-Methyl-Tetrahydropyran-2-Yl]Oxy-6-Methyl-Tetrahydropyran-2-Yl]Oxy-2-Ethyl-2,5-Dihydroxy-6,11-Diketo-7-Methoxy-3,4-Dihydro-1H-Tetracene-1-Carboxylic Acid Methyl Ester
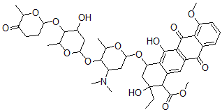
Molecular Structure CAS#: 76304-86-4, Methyl 4-[4-Dimethylamino-5-[4-Hydroxy-6-Methyl-5-(6-Methyl-5-Oxooxan-2-Yl)Oxyoxan-2-Yl]Oxy-6-Methyloxan-2-Yl]Oxy-2-Ethyl-2,5-Dihydroxy-7-Methoxy-6,11-Dioxo-3,4-Dihydro-1H-Tetracene-1-Carboxylate
Molecular Formula C43H55NO15
Molecular Weight 825.91
CAS Registry Number 76304-86-4
SMILES C1=CC=C2C(=C1OC)C(C3=C(C2=O)C=C4C(=C3O)C(CC(C4C(=O)OC)(CC)O)OC5CC(C(C(O5)C)OC6OC(C(C(C6)O)OC7CCC(C(O7)C)=O)C)N(C)C)=O
InChI 1S/C43H55NO15/c1-9-43(51)18-29(34-23(36(43)42(50)53-8)15-24-35(39(34)49)38(48)33-22(37(24)47)11-10-12-28(33)52-7)57-31-16-25(44(5)6)40(20(3)55-31)59-32-17-27(46)41(21(4)56-32)58-30-14-13-26(45)19(2)54-30/h10-12,15,19-21,25,27,29-32,36,40-41,46,49,51H,9,13-14,16-18H2,1-8H3
InChIKey ZLZGCVLBDYRXJV-UHFFFAOYSA-N
Properties
Density 1.389g/cm3 (Cal.)
Boiling point 914.1°C at 760 mmHg (Cal.)
Flash point 506.63°C (Cal.)
Market Analysis Reports
List of Reports Available for Methyl 4-[4-Dimethylamino-5-[4-Hydroxy-6-Methyl-5-(6-Methyl-5-Oxooxan-2-Yl)Oxyoxan-2-Yl]Oxy-6-Methyloxan-2-Yl]Oxy-2-Ethyl-2,5-Dihydroxy-7-Methoxy-6,11-Dioxo-3,4-Dihydro-1H-Tetracene-1-Carboxylate
Related Products
(3-Methoxy-1,2-Dimethyl-9H-Carbazol-4-Yl...  Geranyl Pyrophosphate Ammonium  N,N'-Dibutylsulphamide  3-Bromo-5-Methyl-5H-Furan-2-One  alpha-(4-Pyrrolidinoethoxy)phenyl-4-hydr...  Quinine Iodosulfate  N(alpha)-Palmitoyl-Ornithylornithine Eth...  2-Amino-N-[2-[4-(4-Fluorobenzoyl)Piperid...  N-[(4-Amino-2-Methyl-5-Pyrimidinyl)Methy...  Arsenic Acid Sodium Salt  1,4a,5,6,7,7a-Hexahydro-1,6-Dihydroxy-Cy...  Sodium Methyl Salicylate  2-Acetamido-2-Deoxyglucosylgalactitol  2-Methylheptane-2-Thiol  Phosphoric Acid Sodium Salt