Online Database of Chemicals from Around the World

Acnistin E
[CAS# 76994-39-3]

供应商
CAS#: 76994-39-3
产品: Acnistin E
暂时没有厂家供应该产品。
基本信息
产品名称 Acnistin E
英文名 Acnistin E
别名 Aids031215; Cyclopenta[1,2]Phenanthro[8A,9-B]Oxiren-1(4H)-One, 5A,6,6A,6B,7,8,9,9A,10,11,11A,11B-Dodecahydro-4,9-Dihydroxy-9-[(1S,4R,5S)-4-Hydroxy-4,5-Dimethyl-3-Oxo-2-Oxabicyclo[3.2.1]Oct-7-Yl]-9A,11B-Dimethyl-, (4S,4Ar,5Ar,6As,6Bs,9R,9As,11As,11Br)-; Acnistin E
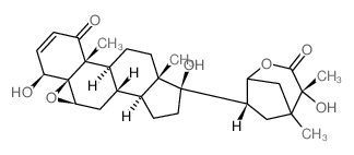
分子结构 CAS 登录号:76994-39-3, Acnistin E
分子式 C28H38O7
分子量 486.60
CAS 登录号 76994-39-3
分子行输入简码 SMILES [C@]237[C@@]([C@H]1CC[C@]4([C@H]([C@@H]1C[C@H]2O3)CC[C@]4(C5[C@H]6OC(=O)[C@@]([C@](C5)(C)C6)(O)C)O)C)(C(=O)C=C[C@@H]7O)C
国际化学标识码 InChI 1S/C28H38O7/c1-23-12-17(18(13-23)34-22(31)26(23,4)32)27(33)10-8-15-14-11-21-28(35-21)20(30)6-5-19(29)25(28,3)16(14)7-9-24(15,27)2/h5-6,14-18,20-21,30,32-33H,7-13H2,1-4H3/t14-,15-,16-,17?,18-,20-,21+,23-,24-,25-,26-,27+,28+/m0/s1
国际化学标识检索码 InChIKey FKQUQCYOBZEPTK-LOBFLEJSSA-N
物理化学性质
密度 1.378g/cm3 (计算值)
沸点 673.853°C at 760 mmHg (计算值)
闪点 224.251°C (计算值)
市场分析报告
请浏览Acnistin E市场分析报告总目录
相关产品
3-[[6-[(3-乙氧羰基-2,4,6-三碘苯基...  2-氨基-3-[(3E)-3-[[4-[(2S)-...  (2S)-2-[[(2S)-2-[[2-[[2-[...  5-[(4-二甲基氨基苯基)亚甲基]-1-(2-羟...  2-氨基-2-(5-甲基-3-氧代-1,2-恶唑-...  2-氨基-3-(3-氧代-1,2-恶唑-4-基)丙...  芬哌酰胺  Acnistin A  1,1-二(乙烯基)环己烷  3-氯-4-氧代戊酸  氯异桑大明  美他洛尔  (8E)-6-甲基-8-[(2E,4E)-5-(6...  2-吗啉-4-基乙酰肼  阿普比妥甲醇溶液