Online Database of Chemicals from Around the World

Polymixin E1
[CAS# 7722-44-3]

Suppliers
CAS#: 7722-44-3
Product: Polymixin E1
No suppilers available for the product.
Identification
Name Polymixin E1
Synonyms (6R)-N-[(1S)-3-Amino-1-[[(1S,2R)-1-[[(1S)-3-Amino-1-[[(3S,6S,9S,12S,15R,18S,21S)-6,9,18-Tris(2-Aminoethyl)-3-(1-Hydroxyethyl)-12,15-Diisobutyl-2,5,8,11,14,17,20-Heptaoxo-1,4,7,10,13,16,19-Heptazacyclotricos-21-Yl]Carbamoyl]Propyl]Carbamoyl]-2-Hydroxy-Propyl]Carbamoyl]Propyl]-6-Methyl-Octanamide; (6R)-N-[(1S)-3-Amino-1-[[[(1S,2R)-1-[[[(1S)-3-Amino-1-[Oxo-[[(3S,6S,9S,12S,15R,18S,21S)-6,9,18-Tris(2-Aminoethyl)-3-(1-Hydroxyethyl)-12,15-Diisobutyl-2,5,8,11,14,17,20-Heptaoxo-1,4,7,10,13,16,19-Heptazacyclotricos-21-Yl]Amino]Methyl]Propyl]Amino]-Oxomethyl]-2-Hydroxypropyl]Amino]-Oxomethyl]Propyl]-6-Methyloctanamide; (6R)-N-[(1S)-3-Amino-1-[[(1S,2R)-1-[[(1S)-3-Amino-1-[[(3S,6S,9S,12S,15R,18S,21S)-6,9,18-Tris(2-Aminoethyl)-3-(1-Hydroxyethyl)-12,15-Diisobutyl-2,5,8,11,14,17,20-Heptaketo-1,4,7,10,13,16,19-Heptazacyclotricos-21-Yl]Carbamoyl]Propyl]Carbamoyl]-2-Hydroxy-Propyl]Carbamoyl]Propyl]-6-Methyl-Caprylamide
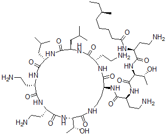
Molecular Structure CAS#: 7722-44-3, Polymixin E1
Molecular Formula C53H100N16O13
Molecular Weight 1169.47
CAS Registry Number 7722-44-3
SMILES [C@H]1(NC(=O)[C@@H](NC(=O)[C@@H](NC(=O)[C@@H](NC(=O)[C@H](NC(=O)[C@@H](NC(=O)[C@@H](NC(=O)[C@@H](NC(=O)[C@@H](NC(=O)[C@@H](NC(=O)CCCC[C@@H](CC)C)CCN)[C@H](O)C)CCN)CCNC1=O)CCN)CC(C)C)CC(C)C)CCN)CCN)[C@H](O)C
InChI 1S/C53H100N16O13/c1-9-30(6)12-10-11-13-41(72)60-33(14-20-54)48(77)69-43(32(8)71)53(82)65-36(17-23-57)45(74)64-38-19-25-59-52(81)42(31(7)70)68-49(78)37(18-24-58)62-44(73)34(15-21-55)63-50(79)39(26-28(2)3)67-51(80)40(27-29(4)5)66-46(75)35(16-22-56)61-47(38)76/h28-40,42-43,70-71H,9-27,54-58H2,1-8H3,(H,59,81)(H,60,72)(H,61,76)(H,62,73)(H,63,79)(H,64,74)(H,65,82)(H,66,75)(H,67,80)(H,68,78)(H,69,77)/t30-,31-,32-,33+,34+,35+,36+,37+,38+,39+,40-,42+,43+/m1/s1
InChIKey XDJYMJULXQKGMM-RVYUQJQSSA-N
Properties
Density 1.254g/cm3 (Cal.)
Boiling point 1536.844°C at 760 mmHg (Cal.)
Flash point 883.251°C (Cal.)
Market Analysis Reports
List of Reports Available for Polymixin E1
Related Products
Caramiphen  Oleyl Dihydrogen Phosphate  1,1',1''-(Benzene-1,3,5-Triyltricarbonyl...  5-[2-Chloro-6-Fluoro-4-(Trifluoromethyl)...  Peroxomonosulphuric Acid  2-(2,4-Diiodophenoxy)Acetic Acid  2-(2-Bromo-4-Chlorophenoxy)Acetate  3-(2-Aminoethyl)-1-(3',6'-Dihydroxy-1-Ox...  3-(6-Aminohexyl)-1-(3',6'-Dihydroxy-1-Ox...  1-(4-Aminophenyl)-2-Imidazol-1-Ylethanol...  N-[4-(2-Imidazol-1-Ylacetyl)Phenyl]Metha...  2-Imidazol-1-Yl-1-(4-Phenylphenyl)Propan...  2-Imidazol-1-Yl-1-(4-Phenoxyphenyl)Ethan...  1-(4-Tert-Butylphenyl)-2-Imidazol-1-Ylet...  1-(4-Cyclohexylphenyl)-2-Imidazol-1-Ylet...