Online Database of Chemicals from Around the World

(1S,3R,4E,6E,8E,10E,12E,14E,16Z,18S,19R,20R,21S,25R,27R,30R,31R,33S,35R,37S,38R)-3-[(2R,3S,4S,5S,6R)-3,5-二羟基-6-甲基-4-[[(3S,4R,5R)-3,4,5,6-四羟基-2-氧代己基]氨基]四氢吡喃-2-基]氧基-19,25,27,30,31,33,35,37-八羟基-18,20,21-三甲基-23-氧代-22,39-二氧杂双环[33.3.1]三十九碳-4,6,8,10,12,14,16-七烯-38-羧酸
[CAS# 78107-92-3]

供应商
CAS#: 78107-92-3
产品: (1S,3R,4E,6E,8E,10E,12E,14E,16Z,18S,19R,20R,21S,25R,27R,30R,31R,33S,35R,37S,38R)-3-[(2R,3S,4S,5S,6R)-3,5-二羟基-6-甲基-4-[[(3S,4R,5R)-3,4,5,6-四羟基-2-氧代己基]氨基]四氢吡喃-2-基]氧基-19,25,27,30,31,33,35,37-八羟基-18,20,21-三甲基-23-氧代-22,39-二氧杂双环[33.3.1]三十九碳-4,6,8,10,12,14,16-七烯-38-羧酸
暂时没有厂家供应该产品。
基本信息
产品名称 (1S,3R,4E,6E,8E,10E,12E,14E,16Z,18S,19R,20R,21S,25R,27R,30R,31R,33S,35R,37S,38R)-3-[(2R,3S,4S,5S,6R)-3,5-二羟基-6-甲基-4-[[(3S,4R,5R)-3,4,5,6-四羟基-2-氧代己基]氨基]四氢吡喃-2-基]氧基-19,25,27,30,31,33,35,37-八羟基-18,20,21-三甲基-23-氧代-22,39-二氧杂双环[33.3.1]三十九碳-4,6,8,10,12,14,16-七烯-38-羧酸
英文名 (1S,3R,4E,6E,8E,10E,12E,14E,16Z,18S,19R,20R,21S,25R,27R,30R,31R,33S,35R,37S,38R)-3-[(2R,3S,4S,5S,6R)-3,5-Dihydroxy-6-Methyl-4-[[(3S,4R,5R)-3,4,5,6-Tetrahydroxy-2-Oxohexyl]Amino]Oxan-2-Yl]Oxy-19,25,27,30,31,33,35,37-Octahydroxy-18,20,21-Trimethyl-23-Oxo-22,39-Dioxabicyclo[33.3.1]Nonatriaconta-4,6,8,10,12,14,16-Heptaene-38-Carboxylic Acid
别名 (1S,3R,4E,6E,8E,10E,12E,14E,16E,18S,19R,20R,21S,25R,27R,30R,31R,33S,35R,37S,38R)-3-[(2R,3S,4S,5S,6R)-3,5-Dihydroxy-6-Methyl-4-[[(3S,4R,5R)-3,4,5,6-Tetrahydroxy-2-Oxohexyl]Amino]Oxan-2-Yl]Oxy-19,25,27,30,31,33,35,37-Octahydroxy-18,20,21-Trimethyl-23-Oxo-22,39-Dioxabicyclo[33.3.1]Nonatriaconta-4,6,8,10,12,14,16-Heptaene-38-Carboxylic Acid; (1S,3R,4E,6E,8E,10E,12E,14E,16Z,18S,19R,20R,21S,25R,27R,30R,31R,33S,35R,37S,38R)-3-[(2R,3S,4S,5S,6R)-3,5-Dihydroxy-6-Methyl-4-[[(3S,4R,5R)-3,4,5,6-Tetrahydroxy-2-Oxo-Hexyl]Amino]Tetrahydropyran-2-Yl]Oxy-19,25,27,30,31,33,35,37-Octahydroxy-18,20,21-Trimethyl-23-Oxo-22,39-Dioxabicyclo[33.3.1]Nonatriaconta-4,6,8,10,12,14,16-Heptaene-38-Carboxylic Acid; (1S,3R,4E,6E,8E,10E,12E,14E,16E,18S,19R,20R,21S,25R,27R,30R,31R,33S,35R,37S,38R)-3-[(2R,3S,4S,5S,6R)-3,5-Dihydroxy-6-Methyl-4-[[(3S,4R,5R)-3,4,5,6-Tetrahydroxy-2-Oxo-Hexyl]Amino]Tetrahydropyran-2-Yl]Oxy-19,25,27,30,31,33,35,37-Octahydroxy-18,20,21-Trimethyl-23-Oxo-22,39-Dioxabicyclo[33.3.1]Nonatriaconta-4,6,8,10,12,14,16-Heptaene-38-Carboxylic Acid
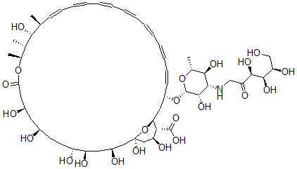
分子结构 CAS 登录号:78107-92-3, (1S,3R,4E,6E,8E,10E,12E,14E,16Z,18S,19R,20R,21S,25R,27R,30R,31R,33S,35R,37S,38R)-3-[(2R,3S,4S,5S,6R)-3,5-二羟基-6-甲基-4-[[(3S,4R,5R)-3,4,5,6-四羟基-2-氧代己基]氨基]四氢吡喃-2-基]氧基-19,25,27,30,31,33,35,37-八羟基-18,20,21-三甲基-23-氧代-22,39-二氧杂双环[33.3.1]三十九碳-4,6,8,10,12,14,16-七烯-38-羧酸
分子式 C53H83NO22
分子量 1086.23
CAS 登录号 78107-92-3
分子行输入简码 SMILES [C@@H]13O[C@@](O)(C[C@H](O)[C@H]1C(O)=O)C[C@@H](O)C[C@@H](O)[C@H](O)CC[C@@H](O)C[C@@H](O)CC(O[C@H]([C@@H]([C@H](O)[C@@H](C)\C=C/C=C/C=C/C=C/C=C/C=C/C=C/[C@H](O[C@@H]2O[C@@H]([C@@H](O)[C@H](NCC(=O)[C@@H](O)[C@H](O)[C@H](O)CO)[C@@H]2O)C)C3)C)C)=O
国际化学标识码 InChI 1S/C53H83NO22/c1-29-17-15-13-11-9-7-5-6-8-10-12-14-16-18-36(75-52-50(69)45(47(66)32(4)74-52)54-27-40(62)48(67)49(68)41(63)28-55)24-42-44(51(70)71)39(61)26-53(72,76-42)25-35(58)22-38(60)37(59)20-19-33(56)21-34(57)23-43(64)73-31(3)30(2)46(29)65/h5-18,29-39,41-42,44-50,52,54-61,63,65-69,72H,19-28H2,1-4H3,(H,70,71)/b6-5+,9-7+,10-8+,13-11+,14-12+,17-15-,18-16+/t29-,30-,31-,32+,33+,34+,35-,36-,37+,38+,39-,41+,42-,44+,45-,46+,47+,48+,49+,50-,52-,53+/m0/s1
国际化学标识检索码 InChIKey LCPVUNFJQJJSDB-AHYKIKMVSA-N
物理化学性质
密度 1.4g/cm3 (计算值)
沸点 1301.66°C at 760 mmHg (计算值)
闪点 741.017°C (计算值)
市场分析报告
请浏览(1S,3R,4E,6E,8E,10E,12E,14E,16Z,18S,19R,20R,21S,25R,27R,30R,31R,33S,35R,37S,38R)-3-[(2R,3S,4S,5S,6R)-3,5-二羟基-6-甲基-4-[[(3S,4R,5R)-3,4,5,6-四羟基-2-氧代己基]氨基]四氢吡喃-2-基]氧基-19,25,27,30,31,33,35,37-八羟基-18,20,21-三甲基-23-氧代-22,39-二氧杂双环[33.3.1]三十九碳-4,6,8,10,12,14,16-七烯-38-羧酸市场分析报告总目录
相关产品
2-[(2-丙-2-基氧基苯甲酰基)氨基]乙基氯化...  3-[(2-丁氧基苯甲酰基)氨基]丙基氯化铵  3-[(2-乙氧基苯甲酰基)氨基]丙基氯化铵  3-[(2-丙-2-基氧基苯甲酰基)氨基]丙基氯化...  3-[(2-甲氧基苯甲酰基)氨基]丙基氯化铵  N-(3-氨基丙基)-2-丙氧基苯甲酰胺盐酸盐  3-[(2-乙氧基苯甲酰基)氨基]丙基-二(2-羟...  二(2-羟基乙基)-[3-[[2-(3-甲基丁氧基...  2-丁氧基-N-(3-吗啉-4-基丙基)苯甲酰胺  二乙基-[2-[(2,4,6-三甲基苯甲酰)氨基]...  2-乙氧基-N-(3-吗啉-4-基丙基)苯甲酰胺  2-(氨基甲基)-1,1-二苯基丁烷-1-醇盐酸盐  2-(二(2-氯乙基)氨基)-4,5,6-三甲基-...  2-羟基-3-[5'-羟基-3-[(E)-4-[4...  1-[3-(2,3-二氢-1H-茚-5-基氧基)丙...