Online Database of Chemicals from Around the World

1,2-Bis(4-(1-Pyreno)Butanoyl)-Sn-Glycero-3-Phosphorylcholine
[CAS# 80115-55-5]

Suppliers
CAS#: 80115-55-5
Product: 1,2-Bis(4-(1-Pyreno)Butanoyl)-Sn-Glycero-3-Phosphorylcholine
No suppilers available for the product.
Identification
Name 1,2-Bis(4-(1-Pyreno)Butanoyl)-Sn-Glycero-3-Phosphorylcholine
Synonyms [(2R)-2,3-Bis(4-Pyren-4-Ylbutanoyloxy)Propyl] 2-Trimethylammonioethyl Phosphate; [(2R)-2,3-Bis[1-Oxo-4-(4-Pyrenyl)Butoxy]Propyl] 2-Trimethylammonioethyl Phosphate; 1,2-Bis(4-(1-Pyreno)Butanoyl)-Sn-Glycero-3-Phosphorylcholine
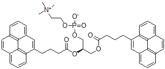
Molecular Structure CAS#: 80115-55-5, 1,2-Bis(4-(1-Pyreno)Butanoyl)-Sn-Glycero-3-Phosphorylcholine
Molecular Formula C48H48NO8P
Molecular Weight 797.88
CAS Registry Number 80115-55-5
SMILES [C@H](CO[P](OCC[N+](C)(C)C)(=O)[O-])(COC(CCCC2=CC1=CC=CC4=C1C3=C2C=CC=C3C=C4)=O)OC(CCCC6=CC5=CC=CC8=C5C7=C6C=CC=C7C=C8)=O
InChI 1S/C48H48NO8P/c1-49(2,3)26-27-55-58(52,53)56-31-40(57-44(51)21-9-15-37-29-39-17-5-11-33-23-25-35-13-7-19-42(37)48(35)46(33)39)30-54-43(50)20-8-14-36-28-38-16-4-10-32-22-24-34-12-6-18-41(36)47(34)45(32)38/h4-7,10-13,16-19,22-25,28-29,40H,8-9,14-15,20-21,26-27,30-31H2,1-3H3/t40-/m1/s1
InChIKey VHLDVPUFVVHFQE-RRHRGVEJSA-N
Market Analysis Reports
List of Reports Available for 1,2-Bis(4-(1-Pyreno)Butanoyl)-Sn-Glycero-3-Phosphorylcholine
Related Products
N-Hydroxy-N-Propionyl-4-Aminobiphenyl  N-Acetylleukotriene D4  1,3-Dimethyl-3-Butenyl Salicylate  4'-O-Demethyldianemycin  3'-Hydroxydianemycin  Hexasodium metaphosphate  3-Bromo-1,2-Epoxycyclohexane  Nestosyl Ointment  4'-(beta-D-Glucopyranosyluronic Acid)-de...  Propane-1,2,3-Triol  Impletol  5,6-Epoxyretinyl phosphate  Tetrasodium 2-[2-(Bis(Carboxylatomethyl)...  3-Acetamido-3,6-Dideoxyglucose  2-Ethylhexyl 2-Cyano-3,3-Diphenyl-Prop-2...