Online Database of Chemicals from Around the World

2,3,3,4-四甲基-6-苯基吗啉
[CAS# 805945-07-7]

供应商
深圳爱拓化学有限公司 中国 询价快递  
+86 13417589054//+86 13424336463
info@atomaxchem.com,atomax.chemicals@gmail.com,
QQ 交流
化学品生产商
基本信息
产品名称 2,3,3,4-四甲基-6-苯基吗啉
英文名 2,3,3,4-Tetramethyl-6-phenylmorpholine
别名 2,3,3,4-tetramethyl-6-phenylmorpholine
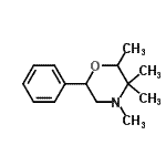
分子结构 CAS 登录号:805945-07-7, 2,3,3,4-四甲基-6-苯基吗啉
分子式 C14H21NO
分子量 219.32
CAS 登录号 805945-07-7
分子行输入简码 SMILES CC1C(N(CC(O1)c2ccccc2)C)(C)C
国际化学标识码 InChI 1S/C14H21NO/c1-11-14(2,3)15(4)10-13(16-11)12-8-6-5-7-9-12/h5-9,11,13H,10H2,1-4H3
国际化学标识检索码 InChIKey SJJXOYXNSJXJJV-UHFFFAOYSA-N
物理化学性质
密度 0.949g/cm3 (计算值)
沸点 291.114°C at 760 mmHg (计算值)
闪点 85.79°C (计算值)
折射率 1.49 (计算值)
市场分析报告
请浏览2,3,3,4-四甲基-6-苯基吗啉市场分析报告总目录
相关产品
2-[(2,4-二甲基-1-哌啶基)甲基]环己酮  乙基5-羟基-3-甲基-1H-吡唑-1-羧酸酯  2-(3,3-二甲基-1-氮杂环丁基)-1-苯基-...  1-(2,4-二甲基苯基)-2-(异丙基氨基)-1...  1-(2-羟基乙氧基)-6-甲基-1,3-二氢呋喃...  (E)-2-均三甲苯基乙烯磺酸  2-甲基-5-[(5-甲基-1H-咪唑-1-基)甲...  3-[甲基(4-甲基-2-喹啉基)氨基]-1-丙醇  1-(5-氨基-2,4-二羟基苯基)-2-(乙基氨...  2-氨基-1-(4-乙基苯基)-1-丙酮  4-(3-乙基-4-甲氧基苯基)-1-丁胺  1-丁基-2,5-二甲基-4-哌啶基乙酸酯  (5-羟基-4,6-二甲基-3-吡啶基)甲基氨基硫...  2-氨基-1-(4-吡啶基)丙-1-醇  3a,5-二甲基-2-苯基辛氢-1H-吲哚