Online Database of Chemicals from Around the World

Instenon
[CAS# 8067-16-1]

Suppliers
CAS#: 8067-16-1
Product: Instenon
No suppilers available for the product.
Identification
Name Instenon
Synonyms [3,6-Bis(Methylimino)-8-(3,4,5-Trimethoxybenzoyl)Oxy-Octyl] 3,4,5-Trimethoxybenzoate; N,N-Diethyl-4-Hydroxy-3-Methoxy-Benzamide; 7-(2-Hydroxyethyl)-1,3-Dimethyl-Purine-2,6-Dione; N,N-Diethyl-4-Hydroxy-3-Methoxybenzamide; 7-(2-Hydroxyethyl)-1,3-Dimethylpurine-2,6-Dione; 3,4,5-Trimethoxybenzoic Acid [3,6-Bis(Methylimino)-8-[Oxo-(3,4,5-Trimethoxyphenyl)Methoxy]Octyl] Ester
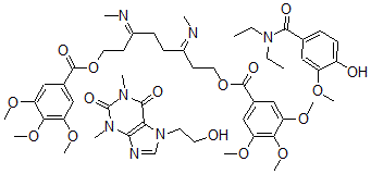
Molecular Structure CAS#: 8067-16-1, Instenon
Molecular Formula C51H69N7O16
Molecular Weight 1036.14
CAS Registry Number 8067-16-1
SMILES C1=NC2=C([N]1CCO)C(=O)N(C(=O)N2C)C.C3=C(C=C(OC)C(=C3OC)OC)C(OCCC(=NC)CCC(=NC)CCOC(=O)C4=CC(=C(OC)C(=C4)OC)OC)=O.C(N(C(=O)C5=CC=C(O)C(=C5)OC)CC)C
InChI 1S/C30H40N2O10.C12H17NO3.C9H12N4O3/c1-31-21(11-13-41-29(33)19-15-23(35-3)27(39-7)24(16-19)36-4)9-10-22(32-2)12-14-42-30(34)20-17-25(37-5)28(40-8)26(18-20)38-6;1-4-13(5-2)12(15)9-6-7-10(14)11(8-9)16-3;1-11-7-6(8(15)12(2)9(11)16)13(3-4-14)5-10-7/h15-18H,9-14H2,1-8H3;6-8,14H,4-5H2,1-3H3;5,14H,3-4H2,1-2H3
InChIKey CJIRYEUCSABKOK-UHFFFAOYSA-N
Market Analysis Reports
List of Reports Available for Instenon
Related Products
Stearine  2-(Cyclohexylnitrosamino)-2-Thiazoline  2-[2,3-Dichloro-4-[(E)-3-Oxo-3-Thiophen-...  alpha-(Trichloromethyl)-2-Pyridinemethan...  2-Nitro-7H-Furo(3,2-f)(1)Benzopyran-7-On...  2-Methyl-3-[(2-Methyl-1-Oxoallyl)Amino]P...  Tordon 101  Innovar  3-Benzhydryloxy-8-Methyl-8-Azabicyclo[3....  Combipres  Bicillin-3  Neosurugatoxin  3-Acetyldigoxigenin  2'-Deoxy-2'-Fluoroguanylyl-(3'-5')Uridin...  9-Carboxymethoxymethylguanine