Online Database of Chemicals from Around the World

3-氧代-4-戊烯酰-辅酶 A
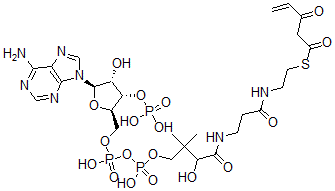
[CAS# 80724-14-7]

供应商
CAS#: 80724-14-7
产品: 3-氧代-4-戊烯酰-辅酶 A
暂时没有厂家供应该产品。
基本信息
产品名称 3-氧代-4-戊烯酰-辅酶 A
英文名 3-Keto-4-Pentenoyl-Coenzyme A
别名 S-[2-[3-[[4-[[[(2R,3S,4R,5R)-5-(6-Aminopurin-9-Yl)-4-Hydroxy-3-Phosphonooxy-Tetrahydrofuran-2-Yl]Methoxy-Hydroxy-Phosphoryl]Oxy-Hydroxy-Phosphoryl]Oxy-2-Hydroxy-3,3-Dimethyl-Butanoyl]Amino]Propanoylamino]Ethyl] 3-Oxopent-4-Enethioate; 3-Oxopent-4-Enethioic Acid S-[2-[[3-[[4-[[[(2R,3S,4R,5R)-5-(6-Amino-9-Purinyl)-4-Hydroxy-3-Phosphonooxy-2-Tetrahydrofuranyl]Methoxy-Hydroxyphosphoryl]Oxy-Hydroxyphosphoryl]Oxy-2-Hydroxy-3,3-Dimethyl-1-Oxobutyl]Amino]-1-Oxopropyl]Amino]Ethyl] Ester; 3-Ketopent-4-Enethioic Acid S-[2-[3-[[4-[[[(2R,3S,4R,5R)-5-(6-Aminopurin-9-Yl)-4-Hydroxy-3-Phosphonooxy-Tetrahydrofuran-2-Yl]Methoxy-Hydroxy-Phosphoryl]Oxy-Hydroxy-Phosphoryl]Oxy-2-Hydroxy-3,3-Dimethyl-Butanoyl]Amino]Propanoylamino]Ethyl] Ester
分子结构 CAS 登录号:80724-14-7, 3-氧代-4-戊烯酰-辅酶 A
分子式 C26H40N7O18P3S
分子量 863.62
CAS 登录号 80724-14-7
分子行输入简码 SMILES [C@H]1(O[C@@H]([C@@H](O[P](=O)(O)O)[C@H]1O)CO[P](O[P](OCC(C(O)C(=O)NCCC(=O)NCCSC(=O)CC(=O)C=C)(C)C)(=O)O)(=O)O)[N]2C3=C(N=C2)C(=NC=N3)N
国际化学标识码 InChI 1S/C26H40N7O18P3S/c1-4-14(34)9-17(36)55-8-7-28-16(35)5-6-29-24(39)21(38)26(2,3)11-48-54(45,46)51-53(43,44)47-10-15-20(50-52(40,41)42)19(37)25(49-15)33-13-32-18-22(27)30-12-31-23(18)33/h4,12-13,15,19-21,25,37-38H,1,5-11H2,2-3H3,(H,28,35)(H,29,39)(H,43,44)(H,45,46)(H2,27,30,31)(H2,40,41,42)/t15-,19-,20-,21?,25-/m1/s1
国际化学标识检索码 InChIKey MGKKVVWYGTWMNB-TVCSPYKZSA-N
物理化学性质
密度 1.835g/cm3 (计算值)
市场分析报告
请浏览3-氧代-4-戊烯酰-辅酶 A市场分析报告总目录
相关产品
Bubulin  Lithooxazoline  还原酸  1,2,3,4,5,6-六氯环己烷  2-氨基乙胺四硫氰酸钴汞  二(乙二胺)(汞四硫氰酸)镍  二(乙二胺)(汞四硫氰酸)铁  丹磺酰-甘氨酰-硝基苯丙氨酰-脯氨酸  7-(羟基甲基)-12-甲基苯并(A)蒽硫酸酯  (3R)-3-[[(1R)-1-[[(4S)-4-...  6-alpha,9-alpha-二氟-11-bet...  乙酰磺胺异恶唑  1-去氨基-三甘氨酰-8-赖氨酸-后叶加压素  Kavaform  (1-氨基-2-苯基乙基)次磷酸