基本信息
| 产品名称 |
1-(beta-巯基-beta,beta-二乙基丙酸)-精氨酸加压素 |
| 英文名 |
1-(beta-Mercapto-beta,beta-Diethylpropionic Acid)-Argipressin |
| 别名 |
1-[7-(2-Amino-2-Oxo-Ethyl)-10-(3-Amino-3-Oxo-Propyl)-20,20-Diethyl-16-[(4-Hydroxyphenyl)Methyl]-6,9,12,15,18-Pentaoxo-13-(Phenylmethyl)1,2-Dithia-5,8,11,14,17-Pentazacycloicosane-4-Carbonyl]-N-[1-[(2-Amino-2-Oxo-Ethyl)Carbamoyl]-4-Guanidino-Butyl]Pyrrolidine-2-Carboxamide; N-[1-[[(2-Amino-2-Oxoethyl)Amino]-Oxomethyl]-4-Guanidinobutyl]-1-[[7-(2-Amino-2-Oxoethyl)-10-(3-Amino-3-Oxopropyl)-20,20-Diethyl-16-[(4-Hydroxyphenyl)Methyl]-6,9,12,15,18-Pentaoxo-13-(Phenylmethyl)-1,2-Dithia-5,8,11,14,17-Pentazacycloicos-4-Yl]-Oxomethyl]-2-Pyrrolidinecarboxamide; 1-[7-(2-Amino-2-Keto-Ethyl)-10-(3-Amino-3-Keto-Propyl)-13-(Benzyl)-20,20-Diethyl-16-(4-Hydroxybenzyl)-6,9,12,15,18-Pentaketo-1,2-Dithia-5,8,11,14,17-Pentazacycloicosane-4-Carbonyl]-N-[1-[(2-Amino-2-Keto-Ethyl)Carbamoyl]-4-Guanidino-Butyl]Pyrrolidine-2-Carboxamide |
|
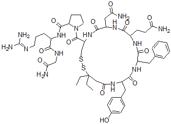
| 分子结构 |
 |
| 分子式 |
C50H72N14O12S2 |
| 分子量 |
1125.33 |
| CAS 登录号 |
81131-88-6 |
| 分子行输入简码 SMILES |
C4=C(CC1NC(=O)CC(SSCC(NC(=O)C(NC(=O)C(NC(=O)C(NC1=O)CC2=CC=CC=C2)CCC(=O)N)CC(=O)N)C(=O)N3C(CCC3)C(=O)NC(CCCN=C(N)N)C(=O)NCC(=O)N)(CC)CC)C=CC(=C4)O |
| 国际化学标识码 InChI |
1S/C50H72N14O12S2/c1-3-50(4-2)25-41(69)58-33(23-29-14-16-30(65)17-15-29)44(72)61-34(22-28-10-6-5-7-11-28)45(73)59-32(18-19-38(51)66)43(71)62-35(24-39(52)67)46(74)63-36(27-77-78-50)48(76)64-21-9-13-37(64)47(75)60-31(12-8-20-56-49(54)55)42(70)57-26-40(53)68/h5-7,10-11,14-17,31-37,65H,3-4,8-9,12-13,18-27H2,1-2H3,(H2,51,66)(H2,52,67)(H2,53,68)(H,57,70)(H,58,69)(H,59,73)(H,60,75)(H,61,72)(H,62,71)(H,63,74)(H4,54,55,56) |
| 国际化学标识检索码 InChIKey |
IEHQFQZNFZQAQD-UHFFFAOYSA-N |
|