Online Database of Chemicals from Around the World

Cecropin A (1-33)
[CAS# 81541-05-1]

Suppliers
CAS#: 81541-05-1
Product: Cecropin A (1-33)
No suppilers available for the product.
Identification
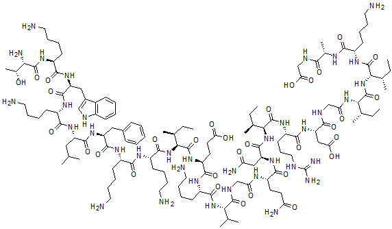
Name Cecropin A (1-33)
Synonyms L-Threonine, L-Lysyl-L-Tryptophyl-L-Lysyl-L-Leucyl-L-Phenylalanyl-L-Lysyl-L-Lysyl-L-Isoleucyl-L-Alpha-Glutamyl-L-Lysyl-L-Valylglycyl-L-Glutaminyl-L-Asparaginyl-L-Isoleucyl-L-Arginyl-L-Alpha-Aspartylglycyl-L-Isoleucyl-L-Isoleucyl-L-Lysyl-L-Alanylglycyl
Molecular Structure CAS#: 81541-05-1, Cecropin A (1-33)
Molecular Formula C128H216N36O32
Molecular Weight 2771.34
CAS Registry Number 81541-05-1
SMILES [C@@H](N)(C(=O)N[C@H](C(=O)N[C@H](C(=O)N[C@H](C(=O)N[C@H](C(=O)N[C@H](C(=O)N[C@H](C(=O)N[C@H](C(=O)N[C@H](C(=O)N[C@H](C(=O)N[C@H](C(=O)N[C@H](C(=O)NCC(=O)N[C@H](C(=O)N[C@H](C(=O)N[C@H](C(=O)N[C@H](C(=O)N[C@H](C(=O)NCC(=O)N[C@H](C(=O)N[C@H](C(=O)N[C@H](C(=O)N[C@@H](C)C(=O)NCC(=O)O)CCCCN)[C@@H](C)CC)[C@@H](C)CC)CC(=O)O)CCCNC(N)=N)[C@@H](C)CC)CC(=O)N)CCC(=O)N)C(C)C)CCCCN)CCC(=O)O)[C@@H](C)CC)CCCCN)CCCCN)CC1=CC=CC=C1)CC(C)C)CCCCN)CC2=C[NH]C3=C2C=CC=C3)CCCCN)[C@H](O)C
InChI 1S/C128H216N36O32/c1-15-70(9)103(127(196)164-106(73(12)18-4)126(195)152-80(41-24-30-52-129)109(178)145-74(13)107(176)144-67-100(174)175)160-97(169)66-142-108(177)93(63-99(172)173)159-113(182)86(47-36-58-140-128(138)139)153-124(193)105(72(11)17-3)163-121(190)92(62-95(136)167)158-114(183)87(48-50-94(135)166)146-96(168)65-143-123(192)102(69(7)8)161-116(185)84(45-28-34-56-133)148-115(184)88(49-51-98(170)171)154-125(194)104(71(10)16-2)162-117(186)85(46-29-35-57-134)147-110(179)81(42-25-31-53-130)149-119(188)90(60-76-37-20-19-21-38-76)156-118(187)89(59-68(5)6)155-111(180)82(43-26-32-54-131)150-120(189)91(61-77-64-141-79-40-23-22-39-78(77)79)157-112(181)83(44-27-33-55-132)151-122(191)101(137)75(14)165/h19-23,37-40,64,68-75,80-93,101-106,141,165H,15-18,24-36,41-63,65-67,129-134,137H2,1-14H3,(H2,135,166)(H2,136,167)(H,142,177)(H,143,192)(H,144,176)(H,145,178)(H,146,168)(H,147,179)(H,148,184)(H,149,188)(H,150,189)(H,151,191)(H,152,195)(H,153,193)(H,154,194)(H,155,180)(H,156,187)(H,157,181)(H,158,183)(H,159,182)(H,160,169)(H,161,185)(H,162,186)(H,163,190)(H,164,196)(H,170,171)(H,172,173)(H,174,175)(H4,138,139,140)/t70-,71-,72-,73-,74-,75+,80-,81-,82-,83-,84-,85-,86-,87-,88-,89-,90-,91-,92-,93-,101-,102-,103-,104-,105-,106-/m0/s1
InChIKey FCSKFTKZLAGOGY-BYSRGVEESA-N
Market Analysis Reports
List of Reports Available for Cecropin A (1-33)
Related Products
4-((5-Methyl-1,3,4-Thiadiazol-2-Yl)Amino...  4-Fluorophenyl Methylphenylphosphinate  4-Nitrophenyl Methyl(4-Trifluoromethylph...  9beta-(2'Azido-2'-deoxy-D-arabinofuranos...  [(1R,2R,3R,4Z,9R,10Z,12S,13S,14R)-1,2-Di...  Prothracarcin  (3S)-6a-Acetyloxy-1,2,3,6,7,7a,10,14,14a...  (3S)-1,2,3,6,7,7A,10,14,14ab,14b-Decahyd...  (1R)-1a-Acetyloxy-1,2,3,6,7,7A,10,14,14a...  N-Acetyl-L-Tyrosylglycyl-Glycinamide  2,3-Didehydro-35-De[11-[[Imino(Methylami...  Furosin  N-Ac-Ala(1)-(4-Cl-Phe)(2)-Trp(3,6)-Lhrh  2,3,3-Trichloroacryloyl Chloride  Isotriornicine