Online Database of Chemicals from Around the World

Coenzyme A Persulfide
[CAS# 81918-99-2]

Suppliers
CAS#: 81918-99-2
Product: Coenzyme A Persulfide
No suppilers available for the product.
Identification
Name Coenzyme A Persulfide
Synonyms [(2R,3S,4R,5R)-5-(6-Aminopurin-9-Yl)-4-Hydroxy-3-Phosphonooxy-Tetrahydrofuran-2-Yl]Methyl [[(3R)-4-[[3-(2-Disulfanylethylamino)-3-Oxo-Propyl]Amino]-3-Hydroxy-2,2-Dimethyl-4-Oxo-Butoxy]-Hydroxy-Phosphoryl] Hydrogen Phosphate; [(2R,3S,4R,5R)-5-(6-Amino-9-Purinyl)-4-Hydroxy-3-Phosphonooxy-2-Tetrahydrofuranyl]Methyl [[(3R)-4-[[3-(2-Disulfanylethylamino)-3-Oxopropyl]Amino]-3-Hydroxy-2,2-Dimethyl-4-Oxobutoxy]-Hydroxyphosphoryl] Hydrogen Phosphate; [(2R,3S,4R,5R)-5-(6-Aminopurin-9-Yl)-4-Hydroxy-3-Phosphonooxy-Tetrahydrofuran-2-Yl]Methyl [[(3R)-4-[[3-(2-Disulfanylethylamino)-3-Keto-Propyl]Amino]-3-Hydroxy-4-Keto-2,2-Dimethyl-Butoxy]-Hydroxy-Phosphoryl] Hydrogen Phosphate
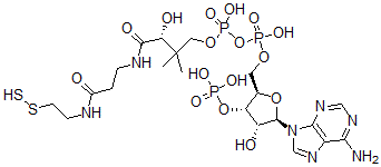
Molecular Structure CAS#: 81918-99-2, Coenzyme A Persulfide
Molecular Formula C21H36N7O16P3S2
Molecular Weight 799.59
CAS Registry Number 81918-99-2
SMILES [C@H]1(O[C@@H]([C@@H](O[P](=O)(O)O)[C@H]1O)CO[P](O[P](OCC([C@@H](O)C(=O)NCCC(=O)NCCSS)(C)C)(=O)O)(=O)O)[N]2C3=C(N=C2)C(=NC=N3)N
InChI 1S/C21H36N7O16P3S2/c1-21(2,16(31)19(32)24-4-3-12(29)23-5-6-49-48)8-41-47(38,39)44-46(36,37)40-7-11-15(43-45(33,34)35)14(30)20(42-11)28-10-27-13-17(22)25-9-26-18(13)28/h9-11,14-16,20,30-31,48H,3-8H2,1-2H3,(H,23,29)(H,24,32)(H,36,37)(H,38,39)(H2,22,25,26)(H2,33,34,35)/t11-,14-,15-,16+,20-/m1/s1
InChIKey REVPHPVBPSIEKM-IBOSZNHHSA-N
Properties
Density 1.971g/cm3 (Cal.)
Market Analysis Reports
List of Reports Available for Coenzyme A Persulfide
Related Products
21-Isopentylcholesterol  6,6'-(Ethylenebis(Oxyethyleneimino))Bis(...  (6beta,12aalpha))-(4S-(4alpha,4aalpha,5a...  5,6-Dihydroxy-8,11,14-Eicosatrienoic Aci...  1,3-Dibutyl-1,3-Difluorodistannoxane  5-(Diisopropylamino)-2-[[4-(Dimethylamin...  1-Pyrenebutyryl-Coenzyme A  (1-Pyrenebutyryl)Carnitine  Prenalterol Sulfate Ester  1,2-Diamino-4,5-Ethylenedioxybenzene  3,3'-Bis(alpha-(trimethylammonium)methyl...  6-Chloro-3-Methyl-1-Phenyl-1H-Pyrazolo[3...  Bis((eta8-1,3,5,7-Cyclooctatetraenyl)-Bi...  5,3',4'-Trihydroxy-3,6,7,8-Tetramethoxyf...  Tert-Butyloxycarbonyl-Norleucyl-Glutamin...