Online Database of Chemicals from Around the World

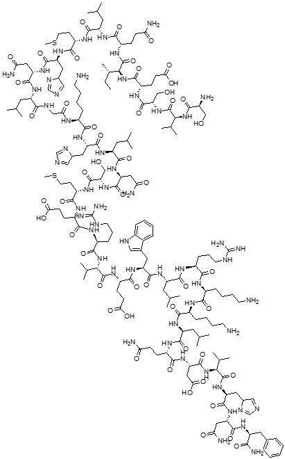
H-丝氨酰-缬氨酰-丝氨酰-谷氨酰-异亮氨酰-谷氨酰胺酰-亮氨酰-蛋氨酰-组氨酰-天冬氨酰胺酰-亮氨酰-甘氨酰-赖氨酰-组氨酰-亮氨酰-天冬氨酰胺酰-丝氨酰-蛋氨酰-谷氨酰-精氨酰-缬氨酰-谷氨酰-色氨酰-亮氨酰-精氨酰-赖氨酰-赖氨酰-亮氨酰-谷氨酰胺酰-天冬氨酰-缬氨酰-组氨酰-天冬氨酰胺酰-苯丙氨酰胺
[CAS# 83139-29-1]

基本信息
产品名称 H-丝氨酰-缬氨酰-丝氨酰-谷氨酰-异亮氨酰-谷氨酰胺酰-亮氨酰-蛋氨酰-组氨酰-天冬氨酰胺酰-亮氨酰-甘氨酰-赖氨酰-组氨酰-亮氨酰-天冬氨酰胺酰-丝氨酰-蛋氨酰-谷氨酰-精氨酰-缬氨酰-谷氨酰-色氨酰-亮氨酰-精氨酰-赖氨酰-赖氨酰-亮氨酰-谷氨酰胺酰-天冬氨酰-缬氨酰-组氨酰-天冬氨酰胺酰-苯丙氨酰胺
英文名 H-Ser-Val-Ser-Glu-Ile-Gln-Leu-Met-His-Asn-Leu-Gly-Lys-His-Leu-Asn-Ser-Met-Glu-Arg-Val-Glu-Trp-Leu-Arg-Lys-Lys-Leu-Gln-Asp-Val-His-Asn-Phe-NH2
分子结构 CAS 登录号:83139-29-1, H-丝氨酰-缬氨酰-丝氨酰-谷氨酰-异亮氨酰-谷氨酰胺酰-亮氨酰-蛋氨酰-组氨酰-天冬氨酰胺酰-亮氨酰-甘氨酰-赖氨酰-组氨酰-亮氨酰-天冬氨酰胺酰-丝氨酰-蛋氨酰-谷氨酰-精氨酰-缬氨酰-谷氨酰-色氨酰-亮氨酰-精氨酰-赖氨酰-赖氨酰-亮氨酰-谷氨酰胺酰-天冬氨酰-缬氨酰-组氨酰-天冬氨酰胺酰-苯丙氨酰胺
CAS 登录号 83139-29-1
蛋白质序列 H-Ser-Val-Ser-Glu-Ile-Gln-Leu-Met-His-Asn-Leu-Gly-Lys-His-Leu-Asn-Ser-Met-Glu-Arg-Val-Glu-Trp-Leu-Arg-Lys-Lys-Leu-Gln-Asp-Val-His-Asn-Phe-NH2
市场分析报告
请浏览H-丝氨酰-缬氨酰-丝氨酰-谷氨酰-异亮氨酰-谷氨酰胺酰-亮氨酰-蛋氨酰-组氨酰-天冬氨酰胺酰-亮氨酰-甘氨酰-赖氨酰-组氨酰-亮氨酰-天冬氨酰胺酰-丝氨酰-蛋氨酰-谷氨酰-精氨酰-缬氨酰-谷氨酰-色氨酰-亮氨酰-精氨酰-赖氨酰-赖氨酰-亮氨酰-谷氨酰胺酰-天冬氨酰-缬氨酰-组氨酰-天冬氨酰胺酰-苯丙氨酰胺市场分析报告总目录
相关产品
[3-(1H-吡咯-1-基)苯基]甲醇  N,N,N',N'-四(2-苯并咪唑基甲基)-1,...  (1S)-alpha,alpha,alpha-三甲...  4-(4-丙基环己基)苯酚  2-氨基-4-氯-6-胍基嘧啶  4-甲基-1-苯基-己-5-烯-3-醇  3-溴-5-乙基-2-甲基噻吩-1,1-二氧化物  缬氨酸-2,3-D2  3,3,4,4,5,5,6,6-八氟辛烷-1,8-...  2,4-二氟苯甲酸钠  1,2-二(三甲氧基硅烷基)癸烷  (1R,3S)-rel-1,3-环己烷二醇二乙酸酯  N-(4-氨基-3-甲氧基苯基)甲烷磺酰胺盐酸盐  2-(三氟甲氧基)苯硼酸频哪醇酯  3-((N-叔丁氧羰基-氨基)甲基)苯硼酸