Online Database of Chemicals from Around the World

异戊酰基-缬氨酰-缬氨酰-(4-氨基-3-羟基-6-甲基庚酰)-丙氨酰-(4-氨基-3-羟基-6-甲基庚酰)-甘氨酰-赖氨酰-赖氨酸
[CAS# 83487-84-7]

供应商
CAS#: 83487-84-7
产品: 异戊酰基-缬氨酰-缬氨酰-(4-氨基-3-羟基-6-甲基庚酰)-丙氨酰-(4-氨基-3-羟基-6-甲基庚酰)-甘氨酰-赖氨酰-赖氨酸
暂时没有厂家供应该产品。
基本信息
产品名称 异戊酰基-缬氨酰-缬氨酰-(4-氨基-3-羟基-6-甲基庚酰)-丙氨酰-(4-氨基-3-羟基-6-甲基庚酰)-甘氨酰-赖氨酰-赖氨酸
英文名 Isovaleryl-valyl-valylstatyl-alanylstatyl-glycyl-lysyl-lysine
别名 (2S)-6-Amino-2-[[(2S)-6-Amino-2-[[2-[[3-Hydroxy-4-[2-[[3-Hydroxy-6-Methyl-4-[[(2S)-3-Methyl-2-[[(2S)-3-Methyl-2-(3-Methylbutanoylamino)Butanoyl]Amino]Butanoyl]Amino]Heptanoyl]Amino]Propanoylamino]-6-Methyl-Heptanoyl]Amino]Acetyl]Amino]Hexanoyl]Amino]Hexanoic Acid; (2S)-6-Amino-2-[[(2S)-6-Amino-2-[[2-[[3-Hydroxy-4-[[2-[[3-Hydroxy-6-Methyl-4-[[(2S)-3-Methyl-2-[[(2S)-3-Methyl-2-[(3-Methyl-1-Oxobutyl)Amino]-1-Oxobutyl]Amino]-1-Oxobutyl]Amino]-1-Oxoheptyl]Amino]-1-Oxopropyl]Amino]-6-Methyl-1-Oxoheptyl]Amino]-1-Oxoethyl]Amino]-1-Oxohexyl]Amino]Hexanoic Acid; (2S)-6-Amino-2-[[(2S)-6-Amino-2-[[2-[[3-Hydroxy-4-[2-[[3-Hydroxy-4-[[(2S)-2-[[(2S)-2-(Isovalerylamino)-3-Methyl-Butanoyl]Amino]-3-Methyl-Butanoyl]Amino]-6-Methyl-Heptanoyl]Amino]Propanoylamino]-6-Methyl-Heptanoyl]Amino]Acetyl]Amino]Hexanoyl]Amino]Hexanoic Acid
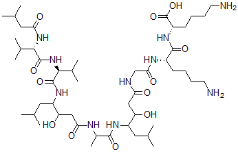
分子结构 CAS 登录号:83487-84-7, 异戊酰基-缬氨酰-缬氨酰-(4-氨基-3-羟基-6-甲基庚酰)-丙氨酰-(4-氨基-3-羟基-6-甲基庚酰)-甘氨酰-赖氨酰-赖氨酸
分子式 C48H90N10O12
分子量 999.30
CAS 登录号 83487-84-7
分子行输入简码 SMILES [C@H](C(=O)O)(NC([C@@H](NC(CNC(CC(C(CC(C)C)NC(C(C)NC(CC(C(CC(C)C)NC([C@@H](NC([C@@H](NC(CC(C)C)=O)C(C)C)=O)C(C)C)=O)O)=O)=O)O)=O)=O)CCCCN)=O)CCCCN
国际化学标识码 InChI 1S/C48H90N10O12/c1-26(2)20-34(36(59)23-38(61)51-25-41(64)53-32(16-12-14-18-49)45(66)54-33(48(69)70)17-13-15-19-50)55-44(65)31(11)52-40(63)24-37(60)35(21-27(3)4)56-46(67)43(30(9)10)58-47(68)42(29(7)8)57-39(62)22-28(5)6/h26-37,42-43,59-60H,12-25,49-50H2,1-11H3,(H,51,61)(H,52,63)(H,53,64)(H,54,66)(H,55,65)(H,56,67)(H,57,62)(H,58,68)(H,69,70)/t31?,32-,33-,34?,35?,36?,37?,42-,43-/m0/s1
国际化学标识检索码 InChIKey WWMFTSRYUPALSO-GSGLJKEASA-N
物理化学性质
密度 1.148g/cm3 (计算值)
沸点 1309.787°C at 760 mmHg (计算值)
闪点 745.932°C (计算值)
市场分析报告
请浏览异戊酰基-缬氨酰-缬氨酰-(4-氨基-3-羟基-6-甲基庚酰)-丙氨酰-(4-氨基-3-羟基-6-甲基庚酰)-甘氨酰-赖氨酰-赖氨酸市场分析报告总目录
相关产品
胞壁酰五肽  N-11-(4-碘苯基磺酰胺)十一烷酸  N-12-(对-碘苯基磺酰胺)十二烷酸  环戊氯噻嗪-K  3-羟基-4-[[2-甲基-5-[(1-甲基乙氧基...  4-氯-3-硝基-N-(2,4,5-三氯苯基)苯甲...  4-[[5-[(2-氯乙氧基)羰基]邻甲苯基]偶氮...  2-氨基-6-硝基-4-新戊基苯酚  1-环己基-5-甲基巴比妥酸  氟多潘  1-氟-2-(4-氟苯氧基)-4-[[2-(4-甲...  4-((2-(4-氯苯基)-2-甲基丁氧基)甲基)...  1-氯-2-((2-(4-甲基苯基)-2-甲基丙氧...  3-苯氧基-6-氟苄基2-(4-氯苯基)-2-甲基...  4-((2-(4-氯苯基)-2-乙基丁氧基)甲基)...