Identification
| Name |
Dipalmitoylglycerophospho-N-((N-(1-Oxyl-2,2,6,6-Tetramethyl-4-Piperidinyl)Carbamoyl)Methyl)Ethanolamine |
| Synonyms |
Sl-6-Dppa; 1-Piperidinyloxy, 4-((7-Hydroxy-1,13-Dioxo-10-((1-Oxohexadecyl)Oxy)-6,8,12-Trioxa-3-Aza-7-Phosphaoctacos-1-Yl)Amino)-2,2,6,6-Tetramethyl-, P-Oxide |
|
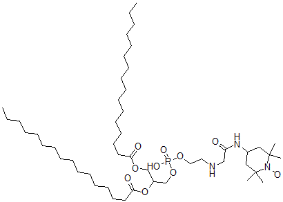
| Molecular Structure |
 |
| Molecular Formula |
C48H93N3O10P |
| Molecular Weight |
903.25 |
| CAS Registry Number |
83993-19-5 |
| SMILES |
[O]N1C(CC(CC1(C)C)NC(CNCCO[P](OCC(COC(CCCCCCCCCCCCCCC)=O)OC(CCCCCCCCCCCCCCC)=O)(O)=O)=O)(C)C |
| InChI |
1S/C48H93N3O10P/c1-7-9-11-13-15-17-19-21-23-25-27-29-31-33-45(53)58-40-43(61-46(54)34-32-30-28-26-24-22-20-18-16-14-12-10-8-2)41-60-62(56,57)59-36-35-49-39-44(52)50-42-37-47(3,4)51(55)48(5,6)38-42/h42-43,49H,7-41H2,1-6H3,(H,50,52)(H,56,57) |
| InChIKey |
JBJSHBUGJZLMSG-UHFFFAOYSA-N |
|