Online Database of Chemicals from Around the World

4'-alpha-D-吡喃葡萄糖基卡那霉素 B
[CAS# 84123-75-1]

供应商
BOC Sciences 美国 询价快递  
+1 (631) 485-4226
info@bocsci.com
Skype 聊天
化学品供销商
chemBlink 集群供应商(2012 年起)
基本信息
产品名称 4'-alpha-D-吡喃葡萄糖基卡那霉素 B
英文名 4'-alpha-D-Glucopyranosylkanamycin B
别名 2-[4-Amino-6-[4,6-Diamino-3-[3-Amino-6-(Aminomethyl)-4,5-Dihydroxy-Tetrahydropyran-2-Yl]Oxy-2-Hydroxy-Cyclohexoxy]-5-Hydroxy-2-(Hydroxymethyl)Tetrahydropyran-3-Yl]Oxy-6-(Hydroxymethyl)Tetrahydropyran-3,4,5-Triol; 2-[[4-Amino-6-[4,6-Diamino-3-[[3-Amino-6-(Aminomethyl)-4,5-Dihydroxy-2-Tetrahydropyranyl]Oxy]-2-Hydroxycyclohexoxy]-5-Hydroxy-2-(Hydroxymethyl)-3-Tetrahydropyranyl]Oxy]-6-(Hydroxymethyl)Tetrahydropyran-3,4,5-Triol; 2-[4-Amino-6-[4,6-Diamino-3-[3-Amino-6-(Aminomethyl)-4,5-Dihydroxy-Tetrahydropyran-2-Yl]Oxy-2-Hydroxy-Cyclohexoxy]-5-Hydroxy-2-Methylol-Tetrahydropyran-3-Yl]Oxy-6-Methylol-Tetrahydropyran-3,4,5-Triol
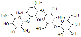
分子结构 CAS 登录号:84123-75-1, 4'-alpha-D-吡喃葡萄糖基卡那霉素 B
分子式 C24H47N5O15
分子量 645.66
CAS 登录号 84123-75-1
分子行输入简码 SMILES C(O)C1C(C(C(C(O1)OC2C(CO)OC(C(C2N)O)OC4C(CC(C(OC3C(C(C(C(CN)O3)O)O)N)C4O)N)N)O)O)O
国际化学标识码 InChI 1S/C24H47N5O15/c25-2-7-12(32)14(34)11(29)22(39-7)42-19-5(26)1-6(27)20(18(19)38)43-23-15(35)10(28)21(9(4-31)41-23)44-24-17(37)16(36)13(33)8(3-30)40-24/h5-24,30-38H,1-4,25-29H2
国际化学标识检索码 InChIKey STAYKUHDGMBJKQ-UHFFFAOYSA-N
物理化学性质
密度 1.664g/cm3 (计算值)
沸点 958.473°C at 760 mmHg (计算值)
闪点 533.465°C (计算值)
市场分析报告
请浏览4'-alpha-D-吡喃葡萄糖基卡那霉素 B市场分析报告总目录
相关产品
2-(2,2-二甲基四氢-2H-吡喃-4-基)-4...  泛喹酮  2-氟肌苷单磷酸酯  Pneumoxide  苯辛替明  还原红 1  2-((4-硝基苯氧基)甲基)-N-2-吡啶基-1...  2-((4-硝基苯氧基)甲基)-N-2-噻唑基-1...  2-((P-硝基苯氧基)甲基)-1-((吡咯烷基)...  2-((O-氯苯氧基)甲基)-1-((2-噻唑基氨...  2-((O-氯苯氧基)甲基)-1-((4-吡啶基氨...  N-[[2-[(2-氯苯氧基)甲基]苯并咪唑-1-...  2-((4-甲氧基苯氧基)甲基)-1-(1-吡咯烷...  2-((2-氯苯氧基)甲基)-1-(4-吗啉基甲基...  1-(吗啉-4-基甲基)-2-[(4-硝基苯氧基)...