Online Database of Chemicals from Around the World

单-2-O-(对甲苯磺酰基)-beta-环糊精
[CAS# 84216-71-7]

供应商
BOC Sciences 美国 询价快递  
+1 (631) 485-4226
info@bocsci.com
Skype 聊天
化学品供销商
chemBlink 集群供应商(2012 年起)
International Laboratory Limited 美国 询价快递  
+1 (650) 278-9963
admin@intlab.org
化学品生产商(2002 年起)
基本信息
产品分类 生物化工 >> 糖类化合物 >> 寡糖
产品名称 单-2-O-(对甲苯磺酰基)-beta-环糊精
英文名 Mono-2-O-(p-Toluenesulfonyl)-beta-Cyclodextrin
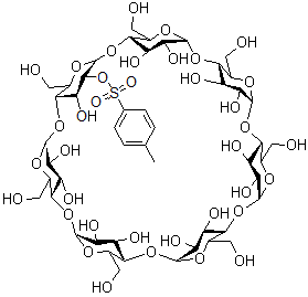
分子结构 CAS 登录号:84216-71-7, 单-2-O-(对甲苯磺酰基)-beta-环糊精
CAS 登录号 84216-71-7
安全数据
SDS 化学品安全技术说明书参考文本
市场分析报告
请浏览单-2-O-(对甲苯磺酰基)-beta-环糊精市场分析报告总目录
相关产品
2-环戊基乙基氯化物  1-苄基-1-氮杂-12-冠醚-4  4-氨基-2-硝基-苯甲酸乙酯  连翘苷  丙氨酰-精氨酰-脯氨酰-丙氨酰-D-赖氨酰胺三氟乙...  (S)-(-)-2-(alpha-甲基苄基氨基)-...  吡啶-3,5-二甲酸单乙酯  3-乙基-1,6,7,11b-四氢-9,10-二甲...  1-乙基-4-[(1-乙基-2(1H)-吡啶基亚基...  1-乙基-4-[(3-乙基-2(3H)-苯并硒唑亚...  2-乙基-5-甲基-3H-咪唑-4-羧酸  4-(2-氨基-丙基)-3-甲基-苯胺  D-葡萄糖-4-13C  1,1,2,2-四氟-2-(1,1,2,2-四氟-...  1,1,2,2-四氟-2-[(1,1,2,2-四氟...