基本信息
| 产品名称 |
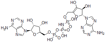
[(2R,3R)-2-(6-氨基嘌呤-9-基)-3,4-二羟基-2,3-二氢呋喃-5-基]甲氧基-N-[[[(2R,3S,4R,5R)-5-(6-氨基嘌呤-9-基)-3,4-二羟基四氢呋喃-2-基]甲氧基-羟基磷酰]氧基-羟基磷酰]氨基磷酸 |
| 英文名 |
[(2R,3R)-2-(6-Aminopurin-9-yl)-3,4-dihydroxy-2,3-dihydrofuran-5-yl]methoxy-N-[[[(2R,3S,4R,5R)-5-(6-aminopurin-9-yl)-3,4-dihydroxyoxolan-2-yl]methoxy-hydroxyphosphoryl]oxy-hydroxyphosphoryl]phosphonamidic acid |
| 别名 |
N-[[(4R,5R)-5-(6-Aminopurin-9-Yl)-3,4-Dihydroxy-4,5-Dihydrofuran-2-Yl]Methoxy-Hydroxy-Phosphoryl]-[[(2R,3S,4R,5R)-5-(6-Aminopurin-9-Yl)-3,4-Dihydroxy-Tetrahydrofuran-2-Yl]Methoxy-Hydroxy-Phosphoryl]Oxy-Phosphonamidic Acid; N-[[(4R,5R)-5-(6-Amino-9-Purinyl)-3,4-Dihydroxy-4,5-Dihydrofuran-2-Yl]Methoxy-Hydroxyphosphoryl]-[[(2R,3S,4R,5R)-5-(6-Amino-9-Purinyl)-3,4-Dihydroxy-2-Tetrahydrofuranyl]Methoxy-Hydroxyphosphoryl]Oxyphosphonamidic Acid; N-[[(4R,5R)-5-(6-Aminopurin-9-Yl)-3,4-Dihydroxy-4,5-Dihydrofuran-2-Yl]Methoxy-Hydroxy-Phosphoryl]-[[(2R,3S,4R,5R)-5-(6-Aminopurin-9-Yl)-3,4-Dihydroxy-Oxolan-2-Yl]Methoxy-Hydroxy-Phosphoryl]Oxy-Phosphonamidic Acid |
|
| 分子结构 |
![CAS 登录号:84625-58-1, [(2R,3R)-2-(6-氨基嘌呤-9-基)-3,4-二羟基-2,3-二氢呋喃-5-基]甲氧基-N-[[[(2R,3S,4R,5R)-5-(6-氨基嘌呤-9-基)-3,4-二羟基四氢呋喃-2-基]甲氧基-羟基磷酰]氧基-羟基磷酰]氨基磷酸](/moreStructures/84625-58-1.gif) |
| 分子式 |
C20H26N11O15P3 |
| 分子量 |
753.41 |
| CAS 登录号 |
84625-58-1 |
| 分子行输入简码 SMILES |
[C@H]1(OC(=C(O)[C@H]1O)CO[P](=O)(O)N[P](O[P](OC[C@H]4O[C@@H]([N]2C3=C(N=C2)C(=NC=N3)N)[C@H](O)[C@@H]4O)(=O)O)(=O)O)[N]5C6=C(N=C5)C(=NC=N6)N |
| 国际化学标识码 InChI |
1S/C20H26N11O15P3/c21-15-9-17(25-3-23-15)30(5-27-9)19-13(34)11(32)7(44-19)1-42-47(36,37)29-48(38,39)46-49(40,41)43-2-8-12(33)14(35)20(45-8)31-6-28-10-16(22)24-4-26-18(10)31/h3-6,8,12-14,19-20,32-35H,1-2H2,(H,40,41)(H2,21,23,25)(H2,22,24,26)(H3,29,36,37,38,39)/t8-,12-,13-,14-,19-,20-/m1/s1 |
| 国际化学标识检索码 InChIKey |
DBGUCIAXKSPQMW-XJBFIMGMSA-N |
|