Online Database of Chemicals from Around the World

2-(13-氨基-2,5,8,11-四氮杂十三碳-1-基)-3,4-二甲基苯酚
[CAS# 84878-45-5]

供应商
CAS#: 84878-45-5
产品: 2-(13-氨基-2,5,8,11-四氮杂十三碳-1-基)-3,4-二甲基苯酚
暂时没有厂家供应该产品。
基本信息
产品名称 2-(13-氨基-2,5,8,11-四氮杂十三碳-1-基)-3,4-二甲基苯酚
英文名 2-(13-Amino-2,5,8,11-tetraazatridec-1-yl)-3,4-dimethylphenol
别名 (13-amino-2,5,8,11-tetraazatridec-1-yl)dimethylphenol
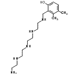
分子结构 CAS 登录号:84878-45-5, 2-(13-氨基-2,5,8,11-四氮杂十三碳-1-基)-3,4-二甲基苯酚
分子式 C17H33N5O
分子量 323.48
CAS 登录号 84878-45-5
EINECS 登录号 284-437-4
分子行输入简码 SMILES Oc1ccc(C)c(C)c1CNCCNCCNCCNCCN
国际化学标识码 InChI 1S/C17H33N5O/c1-14-3-4-17(23)16(15(14)2)13-22-12-11-21-10-9-20-8-7-19-6-5-18/h3-4,19-23H,5-13,18H2,1-2H3
国际化学标识检索码 InChIKey DMHIGFVBFKTOFO-UHFFFAOYSA-N
物理化学性质
密度 1.051g/cm3 (计算值)
沸点 511.482°C at 760 mmHg (计算值)
闪点 263.135°C (计算值)
市场分析报告
请浏览2-(13-氨基-2,5,8,11-四氮杂十三碳-1-基)-3,4-二甲基苯酚市场分析报告总目录
相关产品
镉二(2-壬基苯酚)  锌二(2-辛基苯酚)  钙二(2-辛基苯酚)  镉二(2-辛基苯酚)  4-氰基四氢-2H-吡喃-4-羧酸  2-羟基-6-甲氧基-3-喹啉羧酸  甲基1-甲基-2-亚甲基-3-环戊烯-1-羧酸酯  甲基1-甲基-4-亚甲基-2-环戊烯-1-羧酸酯  1,2-二甲基-2-环戊烯-1-甲酰胺  1,3-二甲基-2-环戊烯-1-甲酰胺  6-氯-2-甲基-3,4'-联吡啶-5-甲腈  5-乙氧基-1-(三甲基硅烷基)-2-吡咯烷酮  螺[5H-1,3-二氧杂环戊并[4,5-b]吡喃-...  5-(2-氯苯基)-8-(4-氯苯基)-2-甲基-...  6-碘-2-甲基-3-吡啶醇