Online Database of Chemicals from Around the World

L-酪氨酰-L-蛋氨酰-L-苯基丙氨酰甘氨酰胺
[CAS# 87619-62-3]

供应商
CAS#: 87619-62-3
产品: L-酪氨酰-L-蛋氨酰-L-苯基丙氨酰甘氨酰胺
暂时没有厂家供应该产品。
基本信息
产品名称 L-酪氨酰-L-蛋氨酰-L-苯基丙氨酰甘氨酰胺
英文名 L-Tyrosyl-L-methionyl-L-phenylalanylglycinamide
别名 H-Tyr-D-met(O)-phe-gly-NH2; tyrosyl-methionyl-phenylalanyl-glycinamide
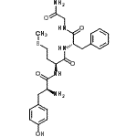
分子结构 CAS 登录号:87619-62-3, L-酪氨酰-L-蛋氨酰-L-苯基丙氨酰甘氨酰胺
分子式 C25H33N5O5S
分子量 515.63
CAS 登录号 87619-62-3
分子行输入简码 SMILES O=C(N)CNC(=O)[C@@H](NC(=O)[C@@H](NC(=O)[C@@H](N)Cc1ccc(O)cc1)CCSC)Cc2ccccc2
国际化学标识码 InChI 1S/C25H33N5O5S/c1-36-12-11-20(29-23(33)19(26)13-17-7-9-18(31)10-8-17)25(35)30-21(24(34)28-15-22(27)32)14-16-5-3-2-4-6-16/h2-10,19-21,31H,11-15,26H2,1H3,(H2,27,32)(H,28,34)(H,29,33)(H,30,35)/t19-,20-,21-/m0/s1
国际化学标识检索码 InChIKey IBKWFGYFFPCATR-ACRUOGEOSA-N
物理化学性质
密度 1.288g/cm3 (计算值)
沸点 965.57°C at 760 mmHg (计算值)
闪点 537.758°C (计算值)
市场分析报告
请浏览L-酪氨酰-L-蛋氨酰-L-苯基丙氨酰甘氨酰胺市场分析报告总目录
相关产品
2-羟基-3-(1H-咪唑-1-基)丙酸  S-[(1E)-1,2,3,4,4-五氯-1,3-...  (2R)-2-氨基-3-({(2R)-2-[(4-...  (3E)-3-己烯-1-基辛酸酯  1-[4-(4-氨基-6,7-二甲氧基-2-喹唑啉...  甲基[4-(6-硝基-2H-1,4-苯并恶嗪-3-...  N-[(2S)-2-氨基丙烷酰基]-1-[(4-硝...  (4-氨基-2-乙基-5-嘧啶基)甲醇  钠2-甲基丙烯酸酯(2Z)-2-丁烯二酸(1:1:...  (6R)-2-氨基-6-[(2S)-2-羟基丙酰基...  S-[(2,5,6-三甲基-1,7-二氧代-1H,...  1-[(3aR,6aR)-3,3a,4,5,6,6...  (2'R,3a'R,4'S,7a'R)-4'-羟基...  2-(二乙基氨基)乙基(4-氧代-2-苯基-4H-...  (6-甲基-4-氧代-2-苯基-4H-苯并吡喃-8...