Online Database of Chemicals from Around the World

N,N-二甲基-3-(4-甲基-1-哌嗪基)-1-丙胺
[CAS# 90331-23-0]

供应商
深圳爱拓化学有限公司 中国 询价快递  
+86 13417589054//+86 13424336463
info@atomaxchem.com,atomax.chemicals@gmail.com,
QQ 交流
化学品生产商
Otava Ltd. 乌克兰 询价快递  
+380 (44) 522-2458
order@otavachemicals.com
化学品生产商(1997 年起)
基本信息
产品名称 N,N-二甲基-3-(4-甲基-1-哌嗪基)-1-丙胺
英文名 N,N-Dimethyl-3-(4-methyl-1-piperazinyl)-1-propanamine
别名 N,N-dimethyl-3-(4-methylpiperazin-1-yl)propan-1-amine
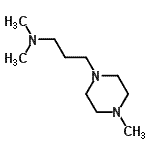
分子结构 CAS 登录号:90331-23-0, N,N-二甲基-3-(4-甲基-1-哌嗪基)-1-丙胺
分子式 C10H23N3
分子量 185.31
CAS 登录号 90331-23-0
分子行输入简码 SMILES CN(C)CCCN1CCN(C)CC1
国际化学标识码 InChI 1S/C10H23N3/c1-11(2)5-4-6-13-9-7-12(3)8-10-13/h4-10H2,1-3H3
国际化学标识检索码 InChIKey GBEWIXXGYLARMX-UHFFFAOYSA-N
物理化学性质
密度 0.913g/cm3 (计算值)
沸点 234.083°C at 760 mmHg (计算值)
闪点 89.999°C (计算值)
市场分析报告
请浏览N,N-二甲基-3-(4-甲基-1-哌嗪基)-1-丙胺市场分析报告总目录
相关产品
N-(1-乙酰基-1,2,3,4-四氢-7-喹啉基...  4-异丙基-6-甲基-1,3-苯二胺  4-异丙基-2-甲基-1,3-苯二胺  2-乙基-5-嘧啶醇  双环[3.1.0]己-2-烯-6-甲酰肼  4-氰基-3,5-二甲基-1H-吡咯-2-羧酸  3-甲基-2-氧杂双环[3.2.0]庚-1(5),...  N-(3-哌啶基甲基)乙酰胺  4-乙基-5-丙基-1,2-二氢-3H-吡唑-3-...  4-丁基-2,6-哌嗪二酮  6-碘-2-甲基-4(1H)-喹唑啉酮  4-[(1E)-1-丁烯-3-炔-1-基]吡啶  4-乙炔基苯甲酰胺  5-乙酰基-1,3-苯并噻唑-2(3H)-酮  2-异氰基苯甲腈