Online Database of Chemicals from Around the World

(5-{[4-({[Dimethyl(2-methyl-2-propanyl)silyl]oxy}methyl)-1-piperidinyl]methyl}-1-{[(2-methyl-2-propanyl)oxy]carbonyl}-1H-indol-2-yl)boronic acid
[CAS# 913388-71-3]

Identification
Name (5-{[4-({[Dimethyl(2-methyl-2-propanyl)silyl]oxy}methyl)-1-piperidinyl]methyl}-1-{[(2-methyl-2-propanyl)oxy]carbonyl}-1H-indol-2-yl)boronic acid
Synonyms 1H-Indole-1-carboxylic acid, 2-borono-5-[[4-[[[(1,1-dimethylethyl)dimethylsilyl]oxy]methyl]-1-piperidinyl]methyl]-, 1-(1,1-dimethylethyl) ester; 1H-Indole-1-carboxylic acid,2-borono-5-[[4-[[[(1,1-dimethylethyl)dimethylsilyl]oxy]methyl]-1-piperidinyl]methyl]-,1-(1,1-dimethylethyl)ester
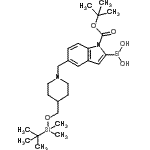
Molecular Structure CAS#: 913388-71-3, (5-{[4-({[Dimethyl(2-methyl-2-propanyl)silyl]oxy}methyl)-1-piperidinyl]methyl}-1-{[(2-methyl-2-propanyl)oxy]carbonyl}-1H-indol-2-yl)boronic acid
Molecular Formula C26H43BN2O5Si
Molecular Weight 502.53
CAS Registry Number 913388-71-3
SMILES B(c1cc2cc(ccc2n1C(=O)OC(C)(C)C)CN3CCC(CC3)CO[Si](C)(C)C(C)(C)C)(O)O
InChI 1S/C26H43BN2O5Si/c1-25(2,3)34-24(30)29-22-10-9-20(15-21(22)16-23(29)27(31)32)17-28-13-11-19(12-14-28)18-33-35(7,8)26(4,5)6/h9-10,15-16,19,31-32H,11-14,17-18H2,1-8H3
InChIKey JZUKTCDOSMFBBQ-UHFFFAOYSA-N
Properties
Density 1.094g/cm3 (Cal.)
Boiling point 583.744°C at 760 mmHg (Cal.)
Flash point 306.837°C (Cal.)
Refractive index 1.528 (Cal.)
Market Analysis Reports
List of Reports Available for (5-{[4-({[Dimethyl(2-methyl-2-propanyl)silyl]oxy}methyl)-1-piperidinyl]methyl}-1-{[(2-methyl-2-propanyl)oxy]carbonyl}-1H-indol-2-yl)boronic acid
Related Products
[5-({[3-(Dimethylamino)-2,2-dimethylprop...  (5-{[(2-{[Dimethyl(2-methyl-2-propanyl)s...  (5-[(Dimethylamino)methyl]-1-{[(2-methyl...  [5-(4-Methyl-1-piperazinyl)-1-{[(2-methy...  (5-[3-(Dimethylamino)propyl]-1-{[(2-meth...  [5-(2-{[Dimethyl(2-methyl-2-propanyl)sil...  (4-{[Dimethyl(2-methyl-2-propanyl)silyl]...  N-(o-tolylmethyl)propan-2-amine  1-(4-Propylphenyl)ethanamine  2-(Mesityloxy)ethanamine  2-(2,4-Dimethylphenoxy)-N-methylethanami...  1-(2-Propyn-1-yl)cyclohexyl methylcarbam...  3-[(4-Methoxybenzyl)amino]-1-propanol  3-(2-Methoxyphenoxy)-N-methyl-1-propanam...  3-[(2-Ethoxyphenyl)amino]-1,2-propanedio...