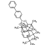
Identification
| Name |
bis(2,4-ditert-butylphenoxy)-(4-phenylphenyl)phosphane |
| Synonyms |
bis(2,4-di-tert-butylphenyl) [1,1-biphenyl]-4-ylphosphonite |
|
| Molecular Structure |
 |
| Molecular Formula |
C40H51O2P |
| Molecular Weight |
594.81 |
| CAS Registry Number |
91362-37-7 |
| EINECS |
293-828-9 |
| SMILES |
CC(C)(C)c4ccc(OP(Oc1ccc(cc1C(C)(C)C)C(C)(C)C)c2ccc(cc2)c3ccccc3)c(c4)C(C)(C)C |
| InChI |
1S/C40H51O2P/c1-37(2,3)30-20-24-35(33(26-30)39(7,8)9)41-43(32-22-18-29(19-23-32)28-16-14-13-15-17-28)42-36-25-21-31(38(4,5)6)27-34(36)40(10,11)12/h13-27H,1-12H3 |
| InChIKey |
PKNOHCARANUOTJ-UHFFFAOYSA-N |
|