Online Database of Chemicals from Around the World

去甲万古霉素
[CAS# 91700-98-0]

供应商
International Laboratory Limited 美国 询价快递  
+1 (650) 278-9963
admin@intlab.org
化学品生产商(2002 年起)
基本信息
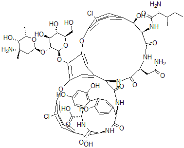
产品名称 去甲万古霉素
英文名 Norvancomycin
别名 Vancomycin, 56-Demethyl-
分子结构 CAS 登录号:91700-98-0, 去甲万古霉素
分子式 C65H73Cl2N9O24
分子量 1435.24
CAS 登录号 91700-98-0
分子行输入简码 SMILES [C@H]56NC(=O)[C@@H]1NC(=O)[C@@H](NC(=O)[C@H](NC(=O)[C@H](N)C(CC)C)[C@H](O)C%10=CC=C(OC2=CC1=CC(=C2O[C@@H]3O[C@@H]([C@@H](O)[C@H](O)[C@H]3O[C@@H]4O[C@H]([C@@H](O)[C@@](N)(C4)C)C)CO)OC9=C(Cl)C=C([C@@H](O)[C@H](NC5=O)C(=O)N[C@@H](C8=C(C7=C(O)C=CC6=C7)C(=CC(=
国际化学标识码 InChI 1S/C65H73Cl2N9O24/c1-5-22(2)44(69)58(88)75-48-50(82)25-7-10-36(31(66)13-25)96-38-15-27-16-39(54(38)100-64-55(53(85)52(84)40(21-77)98-64)99-42-20-65(4,70)56(86)23(3)95-42)97-37-11-8-26(14-32(37)67)51(83)49-62(92)74-47(63(93)94)30-17-28(78)18-35(80)43(30)29
国际化学标识检索码 InChIKey FGDOJVYPUSOORV-BKPBQXSSSA-N
市场分析报告
请浏览去甲万古霉素市场分析报告总目录
相关产品
6'-N-亚氨代甲基达苄霉素  6'-N-亚氨代甲基阿米卡霉素  6'-N-亚氨代乙酰基阿米卡霉素  (5Z,8R,9R,10E,12S)-8-乙酰基-...  雌酮-纳洛酮吖嗪  N-(4-氯苯基)-N-羟基-N'-(3-氯苯基)...  3-(4-氨基-6-苯胺基-1,3,5-三嗪-2-...  1,10-癸烷二基二[三苯基鏻]二溴化物  N,N-二苄基对氨基苯磺酸  2,2-双[[(Z)-十八碳-9-烯酰基]氧甲基]...    N,N-二苄基苯胺  对薄荷烷-3,8-二醇  (2E,4E)-己-2,4-二烯酸  5-(3,4-二甲氧基苯基)-2H-四唑-2-基]...