Online Database of Chemicals from Around the World

Tpp-Sp-G
[CAS# 92067-82-8]

Suppliers
CAS#: 92067-82-8
Product: Tpp-Sp-G
No suppilers available for the product.
Identification
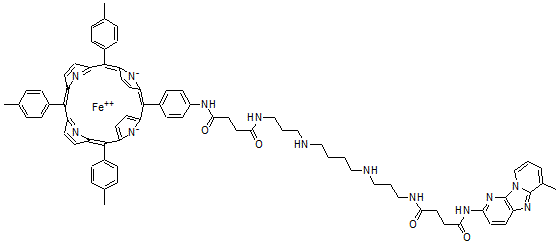
Name Tpp-Sp-G
Synonyms Iron, (N-(6-Methyldipyrido(1,2-A:3',2'-D)Imidazol-2-Yl)-4,19-Dioxo-N'-(4-(10,15,20-Tris(4-Methylphenyl)-21H,23H-Porphin-5-Yl)Phenyl)-5,9,14,18-Tetraazadocosanediamidato(2-)-N21,N22,N23,N24)-, (Sp-4-2)-
Molecular Structure CAS#: 92067-82-8, Tpp-Sp-G
Molecular Formula C76H75FeN13O4
Molecular Weight 1290.36
CAS Registry Number 92067-82-8
SMILES [N-]1C2=CC=C1C(=C8C=CC(=C(C6=NC(=C(C4=NC(=C2C3=CC=C(C=C3)C)C=C4)C5=CC=C(C=C5)C)C=C6)C7=CC=C(C=C7)C)[N-]8)C9=CC=C(C=C9)NC(CCC(=O)NCCCNCCCCNCCCNC(CCC(NC%12=NC%10=C(N=C%11C(=CC=C[N]%10%11)C)C=C%12)=O)=O)=O.[Fe++]
InChI 1S/C76H77N13O4.Fe/c1-48-11-17-52(18-12-48)71-57-27-29-59(82-57)72(53-19-13-49(2)14-20-53)61-31-33-63(84-61)74(64-34-32-62(85-64)73(60-30-28-58(71)83-60)54-21-15-50(3)16-22-54)55-23-25-56(26-24-55)81-69(92)39-37-67(90)79-45-8-43-77-41-5-6-42-78-44-9-46-80-
InChIKey ZKZLQMRCQNDXLJ-UHFFFAOYSA-L
Market Analysis Reports
List of Reports Available for Tpp-Sp-G
Related Products
Rotraxate  (4,4,5,5,6,6,7,7,8,8,9,9,10,10,11,11,11-...  1-Methoxy-1,3,5,7-Nonatetraene  1-Methoxy-1,3,5,7,9-Undecapentaene  1-Oxiranylpyrene  omega-Conotoxin gvia  Potassium (E)-Ethanediazotate  3,5-Diphenylpyridine  2'-Hydroxy-5'-phenylpropiophenone  3-(2,3-Dihydro-1H-Indol-1-Yl)Benzylmethy...  N-[2-[(4-Amino-m-tolyl)ethylamino]ethyl]...  2,4-Dihydroxybenzophenone  Hem-2G  N,N-Dimethyl-2-butylamine  Benzyl-(2-Chloroethyl)-(2-Methoxycarbony...