Online Database of Chemicals from Around the World

6-脱氧蔗糖
[CAS# 92596-12-8]

供应商
CAS#: 92596-12-8
产品: 6-脱氧蔗糖
暂时没有厂家供应该产品。
基本信息
产品名称 6-脱氧蔗糖
英文名 6-Deoxysucrose
别名 (2R,3R,4S,5S,6R)-2-[(2R,3S,4S,5R)-3,4-Dihydroxy-2,5-Bis(Hydroxymethyl)Tetrahydrofuran-2-Yl]Oxy-6-Methyl-Tetrahydropyran-3,4,5-Triol; (2R,3R,4S,5S,6R)-2-[[(2R,3S,4S,5R)-3,4-Dihydroxy-2,5-Bis(Hydroxymethyl)-2-Tetrahydrofuranyl]Oxy]-6-Methyltetrahydropyran-3,
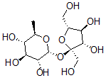
分子结构 CAS 登录号:92596-12-8, 6-脱氧蔗糖
分子式 C12H22O10
分子量 326.30
CAS 登录号 92596-12-8
分子行输入简码 SMILES [C@@H]2(O[C@]1(CO)[C@@H](O)[C@H](O)[C@H](O1)CO)[C@H](O)[C@@H](O)[C@H](O)[C@H](O2)C
国际化学标识码 InChI 1S/C12H22O10/c1-4-6(15)8(17)9(18)11(20-4)22-12(3-14)10(19)7(16)5(2-13)21-12/h4-11,13-19H,2-3H2,1H3/t4-,5-,6-,7-,8+,9-,10+,11-,12-/m1/s1
国际化学标识检索码 InChIKey XTZDYCVKIDQZIN-GWRCVIBKSA-N
物理化学性质
密度 1.669g/cm3 (计算值)
沸点 630.384°C at 760 mmHg (计算值)
闪点 335.044°C (计算值)
市场分析报告
请浏览6-脱氧蔗糖市场分析报告总目录
相关产品
3-O-(2-乙酰氨基-4,6-二-O-乙酰基-2...  1-(3,4-二甲基苯基)-2,5-二甲基-1H-...  N-(2-羟基乙基)-N-(甲酰甲基)亚硝胺  头孢卡奈达罗塞特盐酸盐  硫酸乙酯钙盐  3,3-二甲基丁酰胺  叔丁基硝酸酯  3-甲基-4-氧代-2-苯基-N-(2-(1-哌啶...  (3aR)-3aalpha,4aalpha,5,8...  2-[(4-异氰酸基环己基)甲基]对甲苯基异氰酸酯  5-[(4-异氰酸基环己基)甲基]邻甲苯基异氰酸酯  4-[(4-异氰酸基环己基)甲基]邻甲苯基异氰酸酯  4-[(2-异氰酸基环己基)甲基]邻甲苯基异氰酸酯  15-溴番红菌素 A  萘苯诺酮