Online Database of Chemicals from Around the World

2-[2,2-bis(hydroxymethyl)butoxymethoxymethyl]-2-ethyl-propane-1,3-diol
[CAS# 93983-16-5]

Suppliers
CAS#: 93983-16-5
Product: 2-[2,2-bis(hydroxymethyl)butoxymethoxymethyl]-2-ethyl-propane-1,3-diol
No suppilers available for the product.
Identification
Name 2-[2,2-bis(hydroxymethyl)butoxymethoxymethyl]-2-ethyl-propane-1,3-diol
Synonyms 2,2'-[methylenebis(oxymethylene)]bis[2-ethylpropane-1,3-diol]
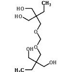
Molecular Structure CAS#: 93983-16-5, 2-[2,2-bis(hydroxymethyl)butoxymethoxymethyl]-2-ethyl-propane-1,3-diol
Molecular Formula C13H28O6
Molecular Weight 280.36
CAS Registry Number 93983-16-5
EINECS 301-304-9
SMILES OCC(COCOCC(CC)(CO)CO)(CC)CO
InChI 1S/C13H28O6/c1-3-12(5-14,6-15)9-18-11-19-10-13(4-2,7-16)8-17/h14-17H,3-11H2,1-2H3
InChIKey RUGYGRQBRINGQW-UHFFFAOYSA-N
Properties
Density 1.14g/cm3 (Cal.)
Boiling point 458.663°C at 760 mmHg (Cal.)
Flash point 231.191°C (Cal.)
Market Analysis Reports
List of Reports Available for 2-[2,2-bis(hydroxymethyl)butoxymethoxymethyl]-2-ethyl-propane-1,3-diol
Related Products
2-{[2-{[2,2-Bis(hydroxymethyl)butoxy]met...  Cadmium bis(2,2-dimethylhexanoate)  Tricyclo[5.2.1.0<sup>2,6</sup>]dec-3-ylm...  3-Amino-N-[5-oxo-1-(2,4,6-trichloropheny...  (1E)-2-Amino-1-phenyl-1-propen-1-ol  1-(2,4-Dichloro-5-fluorophenyl)methanami...  2-(1-Piperazinyl)acetamide dihydrochlori...  6-Chloro-4-pyrimidinecarbonitrile  4-bromo-N,N-dimethyl-3-(trifluoromethyl)...  2-Amino-5-fluoro-3-methylbenzonitrile  N-Hydroxy-1H-benzimidazole-5-carboximida...  2-Amino-4-Pyridinecarboximidic Acid Hydr...  1-(4-Methoxyphenyl)-2-(2-quinolinyl)etha...  2-Bromo-1-(bromomethyl)-4-nitrobenzene  Ethyl N-[(3alpha,7alpha,12alpha)-3,7,12-...