Online Database of Chemicals from Around the World

Guanidylfungin B
[CAS# 94116-20-8]

Suppliers
CAS#: 94116-20-8
Product: Guanidylfungin B
No suppilers available for the product.
Identification
Name Guanidylfungin B
Synonyms 3-[[(13E,23E)-19-[(E)-9-Guanidino-1,3-Dimethyl-Non-3-Enyl]-1,3,7,9,11,25,27,29,31,35,36-Undecahydroxy-4,8,12,16,20,24,26-Heptamethyl-17-Oxo-18,37-Dioxabicyclo[31.3.1]Heptatriaconta-13,23-Dien-15-Yl]Oxy]-3-Oxo-Propanoic Acid; 3-[[(13E,23E)-19-[(E)-9-Guanidi
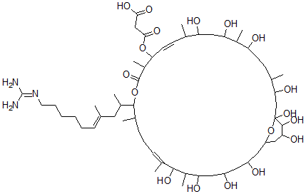
Molecular Structure CAS#: 94116-20-8, Guanidylfungin B
Molecular Formula C57H101N3O18
Molecular Weight 1116.43
CAS Registry Number 94116-20-8
SMILES C(C(C2OC(=O)C(C(OC(=O)CC(O)=O)/C=C/C(C(O)CC(O)C(C(O)CCC(C(O)CC1(OC(CC(O)C1O)CC(O)CC(O)CC(O)C(C(O)C(=C/CCC2C)/C)C)O)C)C)C)C)C)\C(=C\CCCCCN=C(N)N)C
InChI 1S/C57H101N3O18/c1-31(15-12-10-11-13-22-60-56(58)59)23-36(6)53-35(5)17-14-16-34(4)52(72)38(8)45(65)26-41(62)24-40(61)25-42-27-47(67)54(73)57(75,78-42)30-48(68)33(3)18-20-43(63)37(7)46(66)28-44(64)32(2)19-21-49(39(9)55(74)77-53)76-51(71)29-50(69)70/h15-16,
InChIKey DVNBCGGJVDKDQA-UCNQLLDXSA-N
Properties
Density 1.293g/cm3 (Cal.)
Boiling point 1192.961°C at 760 mmHg (Cal.)
Flash point 675.279°C (Cal.)
Market Analysis Reports
List of Reports Available for Guanidylfungin B
Related Products
Guanidylfungin A  S-(Acetonyl)Glutathione  N-Propyl 4-aminobenzoate  7-(Hydroxyamino)-5,8-Quinolinedione  N-Ethyl-9-Acridinamine  N-(4-((1-Formyl-9-Acridinyl)Amino)Phenyl...  7,7,9-Trimethyl-1,4-dioxaspiro[4.5]decan...  Antibiotic G 2A  Antibiotic G 2N  1-Amino-4-((4-Amino-9,10-Dihydro-9,10-Di...  Diethylammonium Octyl Sulphate  Methyl (E)-2-Decen-4-Ynoate  (2E,6Z)-Dodeca-2,6-Dienol  3-Methylbutyl 2-Methylheptanoate  2-Methylpent-2-Enyl Isobutyrate