Online Database of Chemicals from Around the World

Cicaprost
[CAS# 95722-07-9]

Suppliers
Alfa Chemistry USA Inquire  
+1 (201) 478-8534
inquiry@alfa-chemistry.com
Chemical distributor since 2012
chemBlink standard supplier since 2012
Identification
Name Cicaprost
Synonyms 2-[(2E)-2-[(3As,4S,5R,6As)-5-Hydroxy-4-[(3S,4S)-3-Hydroxy-4-Methyl-Nona-1,6-Diynyl]-3,3A,4,5,6,6A-Hexahydro-1H-Pentalen-2-Ylidene]Ethoxy]Acetic Acid; 2-[(2E)-2-[(3As,4S,5R,6As)-5-Hydroxy-4-[(3S,4S)-3-Hydroxy-4-Methyl-Nona-1,6-Diynyl]-3,3A,4,5,6,6A-Hexahydr
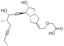
Molecular Structure CAS#: 95722-07-9, Cicaprost
Molecular Formula C22H30O5
Molecular Weight 374.48
CAS Registry Number 95722-07-9
SMILES [C@H]12[C@H](C[C@@H](O)[C@@H]1C#C[C@@H](O)[C@H](CC#CCC)C)CC(/C2)=C\COCC(=O)O
InChI 1S/C22H30O5/c1-3-4-5-6-15(2)20(23)8-7-18-19-12-16(9-10-27-14-22(25)26)11-17(19)13-21(18)24/h9,15,17-21,23-24H,3,6,10-14H2,1-2H3,(H,25,26)/b16-9+/t15-,17-,18+,19-,20+,21+/m0/s1
InChIKey ARUGKOZUKWAXDS-SEWALLKFSA-N
Market Analysis Reports
List of Reports Available for Cicaprost
Related Products
11,12-Leukotriene A4  Aranciamycinone  Chitinovorin B  3-Azido-2-Methyl-5-Methoxy-6-(3,7-Dimeth...  5-Fluoro-2-Methylanisole  Azetirelin  3-Hydroxy-1,1-Dimethylbutyl Peroxy-(2-Et...  (3aR,3aalpha,4aalpha,9aalpha)-Dodecahydr...  15-Deacetylsergeolide  Daphnodorin B  Daphnodorin A  Daphnodorin C  1,2-Bis-Manephosphotidylcholine  N-(4-Azido-3-Iodophenethyl)Spiperone  2'-O-(N-(2-Aminoethyl)carbamoylethyl)pho...