|
CAS#: 96212-36-1 产品: 3-氯丙酰辅酶 A 暂时没有厂家供应该产品。 |
| 产品名称 | 3-氯丙酰辅酶 A |
|---|---|
| 英文名 | 3-Chloropropionyl-Coenzyme A |
| 别名 | S-[2-[3-[[4-[[[5-(6-Aminopurin-9-Yl)-4-Hydroxy-3-Phosphonooxy-Tetrahydrofuran-2-Yl]Methoxy-Hydroxy-Phosphoryl]Oxy-Hydroxy-Phosphoryl]Oxy-2-Hydroxy-3,3-Dimethyl-Butanoyl]Amino]Propanoylamino]Ethyl] 3-Chloropropanethioate; 3-Chloropropanethioic Acid S-[2-[[3 |
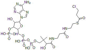
| 分子结构 | ![]() |
| 分子式 | C24H39ClN7O17P3S |
| 分子量 | 858.04 |
| CAS 登录号 | 96212-36-1 |
| 分子行输入简码 SMILES | C1=NC2=C(C(=N1)N)N=C[N]2C3C(O)C(O[P](O)(O)=O)C(O3)CO[P](O[P](OCC(C)(C)C(C(NCCC(NCCSC(=O)CCCl)=O)=O)O)(=O)O)(=O)O |
| 国际化学标识码 InChI | 1S/C24H39ClN7O17P3S/c1-24(2,19(36)22(37)28-6-4-14(33)27-7-8-53-15(34)3-5-25)10-46-52(43,44)49-51(41,42)45-9-13-18(48-50(38,39)40)17(35)23(47-13)32-12-31-16-20(26)29-11-30-21(16)32/h11-13,17-19,23,35-36H,3-10H2,1-2H3,(H,27,33)(H,28,37)(H,41,42)(H,43,44)(H2 |
| 国际化学标识检索码 InChIKey | LBJZPAYTKZKLLL-UHFFFAOYSA-N |
| 密度 | 1.901g/cm3 (计算值) |
|---|---|
| 市场分析报告 |
| 请浏览3-氯丙酰辅酶 A市场分析报告总目录 |