Online Database of Chemicals from Around the World

Tyr-3-octreotide
[CAS# 96608-80-9]

Suppliers
CAS#: 96608-80-9
Product: Tyr-3-octreotide
No suppilers available for the product.
Identification
Name Tyr-3-octreotide
Synonyms 10-(4-Aminobutyl)-19-[(2-Amino-3-Phenyl-Propanoyl)Amino]-7-(1-Hydroxyethyl)-N-[2-Hydroxy-1-(Hydroxymethyl)Propyl]-16-[(4-Hydroxyphenyl)Methyl]-13-(1H-Indol-3-Ylmethyl)-6,9,12,15,18-Pentaoxo-1,2-Dithia-5,8,11,14,17-Pentazacycloicosane-4-Carboxamide; 10-(4-A
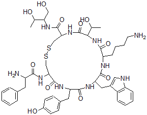
Molecular Structure CAS#: 96608-80-9, Tyr-3-octreotide
Molecular Formula C49H66N10O11S2
Molecular Weight 1035.24
CAS Registry Number 96608-80-9 (103667-46-5)
SMILES C1=C(C2=C([NH]1)C=CC=C2)CC4NC(=O)C(NC(=O)C(NC(=O)C(N)CC3=CC=CC=C3)CSSCC(NC(=O)C(NC(=O)C(NC4=O)CCCCN)C(O)C)C(=O)NC(C(O)C)CO)CC5=CC=C(O)C=C5
InChI 1S/C49H66N10O11S2/c1-27(61)39(24-60)56-48(69)41-26-72-71-25-40(57-43(64)34(51)20-29-10-4-3-5-11-29)47(68)54-37(21-30-15-17-32(63)18-16-30)45(66)55-38(22-31-23-52-35-13-7-6-12-33(31)35)46(67)53-36(14-8-9-19-50)44(65)59-42(28(2)62)49(70)58-41/h3-7,10-13,15-
InChIKey LHCIROHUTQLZCZ-UHFFFAOYSA-N
Properties
Density 1.423g/cm3 (Cal.)
Boiling point 1480.966°C at 760 mmHg (Cal.)
Flash point 849.457°C (Cal.)
Market Analysis Reports
List of Reports Available for Tyr-3-octreotide
Related Products
Lifibrol  1-(4'-tert-Butylphenyl)-3-(4'carboxymeth...  2-Hydrazino-5-N-Butylpyridine  S-(1,2-Dichlorovinyl)Glutathione  25-Hydroxy-6,19-Dihydro-6,19-Ethanovitam...  N-Butyl-4-chloro-3-nitrobenzenesulphonam...  Agelasidine C  Ethyl 3,5-Bis(Trifluoromethyl)Benzoate  Methyl 3-Methyl-3-(4-Methylpent-3-Enyl)O...  2-Methoxy-1-Methyl-2-Oxoethyl Butyrate  2-Allyloxy-m-Anisic Acid  4-(Propylamino)Piperidine-4-Carboxamide  4a-Hydroxy-FAD  N-(4-Azidosalicylamide)-1,2-Bis(Mannos-4...  Halenaquinol Sulfate