Online Database of Chemicals from Around the World

Mithramycin A
[CAS# 97666-60-9]

Suppliers
CAS#: 97666-60-9
Product: Mithramycin A
No suppilers available for the product.
Identification
Name Mithramycin A
Synonyms (2S,3S)-2-[(2S,4R,5R,6R)-4-[(2S,4R,5S,6R)-4-[(2S,4S,5R,6R)-4,5-Dihydroxy-4,6-Dimethyl-Tetrahydropyran-2-Yl]Oxy-5-Hydroxy-6-Methyl-Tetrahydropyran-2-Yl]Oxy-5-Hydroxy-6-Methyl-Tetrahydropyran-2-Yl]Oxy-3-[(1S,3S,4R)-3,4-Dihydroxy-1-Methoxy-2-Oxo-Pentyl]-6-[(
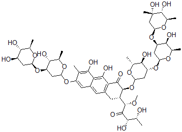
Molecular Structure CAS#: 97666-60-9, Mithramycin A
Molecular Formula C52H76O24
Molecular Weight 1085.16
CAS Registry Number 97666-60-9
SMILES [C@@H]1([C@@H](C(C2=C(C1)C=C3C(=C2O)C(=C(C(=C3)O[C@@H]4O[C@@H]([C@@H](O)[C@@H](C4)O[C@@H]5O[C@H](C)[C@H]([C@@H](C5)O)O)C)C)O)=O)O[C@@H]6O[C@@H]([C@@H](O)[C@@H](C6)O[C@@H]7O[C@@H]([C@H](O)[C@@H](C7)O[C@H]8C[C@@](O)(C)[C@@H]([C@H](O8)C)O)C)C)[C@@H](C([C@H](
InChI 1S/C52H76O24/c1-18-29(72-34-14-30(43(58)21(4)68-34)73-33-13-28(54)42(57)20(3)67-33)12-26-10-25-11-27(49(66-9)48(63)41(56)19(2)53)50(47(62)39(25)46(61)38(26)40(18)55)76-36-16-31(44(59)23(6)70-36)74-35-15-32(45(60)22(5)69-35)75-37-17-52(8,65)51(64)24(7)71-3
InChIKey CFCUWKMKBJTWLW-BKHRDMLASA-N
Market Analysis Reports
List of Reports Available for Mithramycin A
Related Products
Paulomenol B  1-Nitrosoindole-3-Acetonitrile  Inositol 1,2-Cyclic 4-Bisphosphate  6'-n-Propylspectinomycin sulfate  Alconil  Azuloxa  Methyl 1-Benzyl-1,2,5,6-Tetrahydro-4-Hyd...  3-Ethyl-2-(Isopropyl)-6-(Isopropylidene)...  5-Ethyl-4-(Isopropyl)-2-(Isopropylidene)...  Bis(2-Hydroxyethyl)Methyl(Octadec-9-Enyl...  Bis[2-(2-Hydroxyethoxy)Ethyl]Methyl(9-Oc...  Ethylbis(2-Hydroxyethyl)Octadecenylammon...  Bis(2-Hydroxypropyl)Methyl-2-[(1-Oxoocta...  2,8,10,16,17,23-Hexaoxa-5,13,20-Triaza-1...  Trisodium 4-Hydroxy-3-[(4-Methoxy-2-Sulp...