基本信息
| 产品名称 |
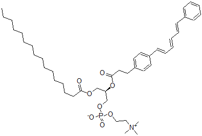
1-棕榈酰基-2-((2-(4-(6-苯基-1,3,4-己三烯基)苯基)乙基)羰基)-3-磷脂酰胆碱 |
| 英文名 |
1-Palmitoyl-2-((2-(4-(6-Phenyl-1,3,4-Hexatrienyl)Phenyl)Ethyl)Carbonyl)-3-Phosphatidylcholine |
| 别名 |
[(2R)-3-Hexadecanoyloxy-2-[3-[4-[(1E,3E,5E)-6-Phenylhexa-1,3,5-Trienyl]Phenyl]Propanoyloxy]Propyl] 2-Trimethylammonioethyl Phosphate; [(2R)-3-(1-Oxohexadecoxy)-2-[1-Oxo-3-[4-[(1E,3E,5E)-6-Phenylhexa-1,3,5-Trienyl]Phenyl]Propoxy]Propyl] 2-Trimethylammonioet |
|
| 分子结构 |
 |
| 分子式 |
C45H68NO8P |
| 分子量 |
782.01 |
| CAS 登录号 |
98014-38-1 (121822-82-0) |
| 分子行输入简码 SMILES |
[C@H](OC(=O)CCC1=CC=C(C=C1)\C=C\C=C\C=C\C2=CC=CC=C2)(CO[P](OCC[N+](C)(C)C)([O-])=O)COC(=O)CCCCCCCCCCCCCCC |
| 国际化学标识码 InChI |
1S/C45H68NO8P/c1-5-6-7-8-9-10-11-12-13-14-15-16-24-29-44(47)51-38-43(39-53-55(49,50)52-37-36-46(2,3)4)54-45(48)35-34-42-32-30-41(31-33-42)28-21-18-17-20-25-40-26-22-19-23-27-40/h17-23,25-28,30-33,43H,5-16,24,29,34-39H2,1-4H3/b18-17+,25-20+,28-21+/t43-/m1/ |
| 国际化学标识检索码 InChIKey |
KUICZDXXMCRPHS-LZYLQXPQSA-N |
|