Online Database of Chemicals from Around the World

2-戊炔酰辅酶 A
[CAS# 98482-18-9]

供应商
CAS#: 98482-18-9
产品: 2-戊炔酰辅酶 A
暂时没有厂家供应该产品。
基本信息
产品名称 2-戊炔酰辅酶 A
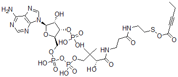
英文名 2-Pentynoyl-Coenzyme A
别名 2-[3-[[(2R)-4-[[[(2R,3S,4R,5R)-5-(6-Aminopurin-9-Yl)-4-Hydroxy-3-Phosphonooxy-Tetrahydrofuran-2-Yl]Methoxy-Hydroxy-Phosphoryl]Oxy-Hydroxy-Phosphoryl]Oxy-2-Hydroxy-3,3-Dimethyl-Butanoyl]Amino]Propanoylamino]Ethylsulfanyl Pent-2-Ynoate; Pent-2-Ynoic Acid [2-
分子结构 CAS 登录号:98482-18-9, 2-戊炔酰辅酶 A
分子式 C26H40N7O18P3S
分子量 863.62
CAS 登录号 98482-18-9
分子行输入简码 SMILES [C@H]1(O[C@@H]([C@@H](O[P](=O)(O)O)[C@H]1O)CO[P](O[P](OCC([C@@H](O)C(=O)NCCC(=O)NCCSOC(=O)C#CCC)(C)C)(=O)O)(=O)O)[N]2C3=C(N=C2)C(=NC=N3)N
国际化学标识码 InChI 1S/C26H40N7O18P3S/c1-4-5-6-17(35)50-55-10-9-28-16(34)7-8-29-24(38)21(37)26(2,3)12-47-54(44,45)51-53(42,43)46-11-15-20(49-52(39,40)41)19(36)25(48-15)33-14-32-18-22(27)30-13-31-23(18)33/h13-15,19-21,25,36-37H,4,7-12H2,1-3H3,(H,28,34)(H,29,38)(H,42,43)(H,44,
国际化学标识检索码 InChIKey HTMHFORBLFDTTA-ZMHDXICWSA-N
市场分析报告
请浏览2-戊炔酰辅酶 A市场分析报告总目录
相关产品
番甾体生物碱  2-叔丁氧羰基氨基琥珀酸 4-苄酯  (1-羟基乙基)-5-甲基-1-beta-呋喃核糖...  1-(2-甲基巴豆酰)脲  胆甾-4-烯-3,6-二酮  2-甲基-2-(1-甲基咪唑-2-基)硫基丙酸  4-(氯甲基)-5-甲基-2-糠酸甲酯  精氨酰(2)-甘氨酰(3)-苯丙氨酰(4)-皮啡肽  棣棠霉素 C  2-(1-哌啶基)乙基 2-(癸氧基)苯基氨基甲酸...  烯丙洛尔-Nbd  N-((3-羟基-5-羟基甲基-2-甲基)-4-吡...  5-羟基-4-(((2-(1H-吲哚-3-基)-1...  (4E)-5-(羟基甲基)-4-[[2-(5-甲氧...  (4Z)-5-(羟基甲基)-4-[[1-(5-甲氧...