Online Database of Chemicals from Around the World

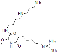
N-[2-[4-(3-氨基丙基氨基)丁基氨基]-1-甲氧基-2-氧代乙基]-7-胍基庚酰胺
[CAS# 98629-44-8]

供应商
CAS#: 98629-44-8
产品: N-[2-[4-(3-氨基丙基氨基)丁基氨基]-1-甲氧基-2-氧代乙基]-7-胍基庚酰胺
暂时没有厂家供应该产品。
基本信息
产品名称 N-[2-[4-(3-氨基丙基氨基)丁基氨基]-1-甲氧基-2-氧代乙基]-7-胍基庚酰胺
英文名 N-[2-[4-(3-Aminopropylamino)butylamino]-1-methoxy-2-oxoethyl]-7-guanidinoheptanamide
别名 N-[2-[4-(3-Aminopropylamino)Butylamino]-1-Methoxy-2-Oxo-Ethyl]-7-Guanidino-Heptanamide; N-[2-[4-(3-Aminopropylamino)Butylamino]-1-Methoxy-2-Oxoethyl]-7-Guanidinoheptanamide; N-[2-[4-(3-Aminopropylamino)Butylamino]-2-Keto-1-Methoxy-Ethyl]-7-Guanidino-Enantha
分子结构 CAS 登录号:98629-44-8, N-[2-[4-(3-氨基丙基氨基)丁基氨基]-1-甲氧基-2-氧代乙基]-7-胍基庚酰胺
分子式 C18H39N7O3
分子量 401.55
CAS 登录号 98629-44-8
分子行输入简码 SMILES C(CCC(=O)NC(OC)C(=O)NCCCCNCCCN)CCCN=C(N)N
国际化学标识码 InChI 1S/C18H39N7O3/c1-28-17(16(27)23-13-7-6-11-22-12-8-10-19)25-15(26)9-4-2-3-5-14-24-18(20)21/h17,22H,2-14,19H2,1H3,(H,23,27)(H,25,26)(H4,20,21,24)
国际化学标识检索码 InChIKey HFNDGMJKLKYYRZ-UHFFFAOYSA-N
物理化学性质
密度 1.211g/cm3 (计算值)
市场分析报告
请浏览N-[2-[4-(3-氨基丙基氨基)丁基氨基]-1-甲氧基-2-氧代乙基]-7-胍基庚酰胺市场分析报告总目录
相关产品
O-(葡萄糖醛酸 2-硫酸酯)-(1--4)-O-...  N-棕榈酰基-5,6-二棕榈酰基-S-甘油半胱氨酰...  2-(3,4-二乙酰氧基苯基)-2-氯-N-异丙基...  S-(1,1,2,2,3,3-六氟丙基)-L-半胱...  肌氨酰(1)-苯丙氨酰(4)-异亮氨酰(8)-血管...  去-(N-甲基)-8,9-去氢赤式霉菌素 A 6,...  布可隆 N-葡糖苷酸  7,12-二羟甲基苯并[a]蒽 7-硫酸酯  3beta-Hydroxy-16,28-secos...  3-(O-甲氧基苯甲酰基)吲哚  (4-羟基苯基)(1H-吲哚-3-基)甲酮  N-(4-叠氮基-2-硝基苯基)甘氨酰-(脯氨酰-...  甲基丙烯酸 2-羟基乙基酯与丙烯酸丁酯, 乙烯基苯...  6-乙基-5H-二苯并[c,e]氮杂卓  丹芝酸 A