Online Database of Chemicals from Around the World

埃皮德明
[CAS# 99165-17-0]

供应商
CAS#: 99165-17-0
产品: 埃皮德明
暂时没有厂家供应该产品。
基本信息
产品名称 埃皮德明
英文名 Epidermin
别名 Epidermin (Antibiotic)
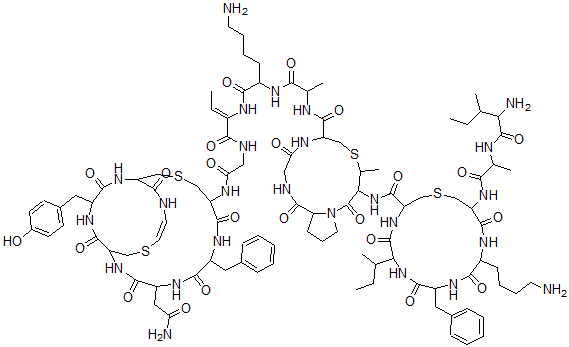
分子结构 CAS 登录号:99165-17-0, 埃皮德明
分子式 C98H141N25O23S4
分子量 2165.59
CAS 登录号 99165-17-0
分子行输入简码 SMILES C8=C(CC1C(NC(C(NC(CSCC(NC(C(NC(C(C(CC)C)N)=O)C)=O)C(NC(C(N1)=O)CCCCN)=O)C(=O)NC3C(C)SCC(NC(=O)CNC(=O)C2CCCN2C3=O)C(=O)NC(C)C(=O)NC(CCCCN)C(=O)NC(=C\C)/C(=O)NCC(=O)NC7CSCC5NC(=O)C(CC4=CC=C(O)C=C4)NC(=O)C(CS\C=C/NC5=O)NC(=O)C(CC(N)=O)NC(=O)C(CC6=CC=CC=C6)NC
国际化学标识码 InChI 1S/C98H141N25O23S4/c1-9-51(4)77(102)96(144)107-54(7)81(129)117-70-48-149-49-71(120-97(145)78(52(5)10-2)121-89(137)65(40-57-25-16-13-17-26-57)113-85(133)62(112-92(70)140)28-19-21-35-100)94(142)122-79-55(8)150-50-72(109-76(127)44-105-95(143)73-29-22-37-123(
国际化学标识检索码 InChIKey CXTXHTVXPMOOSW-HUCIVYLBSA-N
市场分析报告
请浏览埃皮德明市场分析报告总目录
相关产品
(N-辛酰硫代)磷脂酰胆碱  白杨甙  6-(3-吡啶基氧基)吡啶-3-胺  2-氯-5-(吗啉-4-磺酰基)苯胺  11-黄体素-2-琥珀酰酪胺-4-(10-甲基)吖...  5-孕烯-3,20-二醇葡糖苷  6-异丙基氨基哌嗪基-2-硫代甲酰胺  N(1)-亚硝基-3-硝基甲基吲哚  4-[(1,3-二氧代茚-5-基)甲基氨基]苯甲酸  1-硝基-3-乙酰氧基芘  露糖e 6-硫酸酯  云实苦素 J  楮树查耳酮 A  2-(3,4-二羟基苯基)-5,7-二羟基-3-甲...  N-(4-氨基-5-甲氧基-2-甲基苯基)苯甲酰胺