Online Database of Chemicals from Around the World

Ganglioside Gm3 Lactone
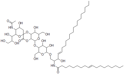
[CAS# 99477-47-1]

Suppliers
CAS#: 99477-47-1
Product: Ganglioside Gm3 Lactone
No suppilers available for the product.
Identification
Name Ganglioside Gm3 Lactone
Synonyms (E)-N-[(E)-1-[[5-[5'-Acetamido-4',8-Dihydroxy-7-(Hydroxymethyl)-3-Oxo-6'-(1,2,3-Trihydroxypropyl)Spiro[5,7,8,8A-Tetrahydro-4Ah-Pyrano[3,4-E][1,4]Dioxine-2,2'-Tetrahydropyran]-5-Yl]Oxy-3,4-Dihydroxy-6-(Hydroxymethyl)Tetrahydropyran-2-Yl]Oxymethyl]-2-Hydrox
Molecular Structure CAS#: 99477-47-1, Ganglioside Gm3 Lactone
Molecular Formula C61H108N2O20
Molecular Weight 1189.53
CAS Registry Number 99477-47-1
SMILES C(O)C3OC(OC1C(O)C(O)C(OC1CO)OCC(NC(=O)CCCCCCC\C=C\CCCCCCCC)C(O)\C=C\CCCCCCCCCCCCCCC)C2OC(=O)C4(OC2C3O)OC(C(NC(=O)C)C(O)C4)C(O)C(O)CO
InChI 1S/C61H108N2O20/c1-4-6-8-10-12-14-16-18-20-22-24-26-28-30-32-34-43(68)42(63-48(71)35-33-31-29-27-25-23-21-19-17-15-13-11-9-7-5-2)40-77-58-53(75)52(74)54(47(39-66)79-58)80-59-57-56(51(73)46(38-65)78-59)83-61(60(76)81-57)36-44(69)49(62-41(3)67)55(82-61)50(7
InChIKey BCXFBIAHUWAIAL-MMXMALAYSA-N
Properties
Density 1.246g/cm3 (Cal.)
Boiling point 1238.783°C at 760 mmHg (Cal.)
Flash point 702.991°C (Cal.)
Market Analysis Reports
List of Reports Available for Ganglioside Gm3 Lactone
Related Products
2-[5-[(E)-3-(2,4-Dichlorophenyl)prop-2-e...  2-[5-(3,5-Dichlorobenzoyl)-2-hydroxyphen...  (2S,3R,4S,5R)-2-[4-[(3-Nitrophenyl)Methy...  4-Fluoro-1-(1-(2-Thienyl)Cyclohexyl)Pipe...  3'-O-Decarbamoylirumamycin  Lithiumboronnitride  Disuprazole  3,5,6-Trihydroxy-4',7'-Dimethoxyflavone  3,5,6-Trihydroxy-3',4',7'-Trimethoxyflav...  Efetozole  N-Chlorocarbonyloxy-5-Norborene-2,3-Dica...  N-(Deoxyguanosin-8-Yl)-2-Aminophenanthre...  Diethyl [(diethylamino)methyl]phosphonat...  N-Acetylmuramyl-Alanyl-Isoglutamine-Alan...  Derpanicate