Online Database of Chemicals from Around the World

(3S,6S,9R,12S)-6-(4-氨基丁基)-12-苄基-9-丁烷-2-基-3-[(4-羟基苯基)甲基]-1,4,7,10,13,16-六氮杂环十八烷-2,5,8,11,14,17-六酮
[CAS# 99764-53-1]

供应商
CAS#: 99764-53-1
产品: (3S,6S,9R,12S)-6-(4-氨基丁基)-12-苄基-9-丁烷-2-基-3-[(4-羟基苯基)甲基]-1,4,7,10,13,16-六氮杂环十八烷-2,5,8,11,14,17-六酮
暂时没有厂家供应该产品。
基本信息
产品名称 (3S,6S,9R,12S)-6-(4-氨基丁基)-12-苄基-9-丁烷-2-基-3-[(4-羟基苯基)甲基]-1,4,7,10,13,16-六氮杂环十八烷-2,5,8,11,14,17-六酮
英文名 (3S,6S,9R,12S)-6-(4-Aminobutyl)-12-Benzyl-9-Butan-2-Yl-3-[(4-Hydroxyphenyl)Methyl]-1,4,7,10,13,16-Hexazacyclooctadecane-2,5,8,11,14,17-Hexone
别名 (3S,6S,9R,12S)-6-(4-Aminobutyl)-3-[(4-Hydroxyphenyl)Methyl]-12-(Phenylmethyl)-9-Sec-Butyl-1,4,7,10,13,16-Hexazacyclooctadecane-2,5,8,11,14,17-Hexone; (3S,6S,9R,12S)-6-(4-Aminobutyl)-12-(Benzyl)-3-(4-Hydroxybenzyl)-9-Sec-Butyl-1,4,7,10,13,16-Hexazacycloocta
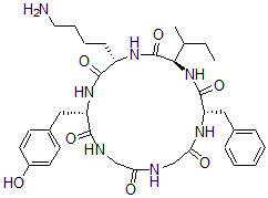
分子结构 CAS 登录号:99764-53-1, (3S,6S,9R,12S)-6-(4-氨基丁基)-12-苄基-9-丁烷-2-基-3-[(4-羟基苯基)甲基]-1,4,7,10,13,16-六氮杂环十八烷-2,5,8,11,14,17-六酮
分子式 C34H47N7O7
分子量 665.79
CAS 登录号 99764-53-1
分子行输入简码 SMILES [C@@H]1(NC(=O)[C@@H](NC(=O)CNC(=O)CNC(=O)[C@@H](NC(=O)[C@@H](NC1=O)CCCCN)CC2=CC=C(O)C=C2)CC3=CC=CC=C3)C(CC)C
国际化学标识码 InChI 1S/C34H47N7O7/c1-3-21(2)30-34(48)39-25(11-7-8-16-35)32(46)40-26(18-23-12-14-24(42)15-13-23)31(45)37-19-28(43)36-20-29(44)38-27(33(47)41-30)17-22-9-5-4-6-10-22/h4-6,9-10,12-15,21,25-27,30,42H,3,7-8,11,16-20,35H2,1-2H3,(H,36,43)(H,37,45)(H,38,44)(H,39,48)(H
国际化学标识检索码 InChIKey STCPTJKVQFCSCB-IAZMYSRMSA-N
物理化学性质
密度 1.163g/cm3 (计算值)
沸点 1124.807°C at 760 mmHg (计算值)
闪点 634.06°C (计算值)
市场分析报告
请浏览(3S,6S,9R,12S)-6-(4-氨基丁基)-12-苄基-9-丁烷-2-基-3-[(4-羟基苯基)甲基]-1,4,7,10,13,16-六氮杂环十八烷-2,5,8,11,14,17-六酮市场分析报告总目录
相关产品
N-己-5-烯基十二烷二酰胺  4-(4-亚甲基环己基甲氧羰基)苯甲酸  [(4-亚甲基环己基)甲基]丁二酸氢酯  N-己-5-烯基己二酰胺  [1-(羟基甲基)-2-[(1-氧代十六烷基)氧基...  [1-(羟基甲基)-2-[(1-氧代十八烷基)氧基...  甲基 alpha-D-吡喃葡萄糖苷与 1,4-苯二...  2-二甲基氨基-1,3-二(硫氰酸基)丙烷  2-氟-D-利托胺  2-氟利托胺  乙烯-1,1,2-三甲腈  2-氨基-1,9-二氢-9-(4-羟基-3-(羟基...  [1-[[6-(羟甲基)-5-膦酰氧基-4-十四碳...  2-酮基-3-脱氧-1,7-二羧基庚糖酸  3-巯基-2-吡啶磺酰胺