Online Database of Chemicals from Around the World

4-硝基苯基 O-6-脱氧-6-(2-吡啶基氨基)-alpha-D-吡喃葡萄糖基-(1→4)-O-alpha-D-吡喃葡萄糖基-(1→4)-O-alpha-D-吡喃葡萄糖基-(1→4)-O-alpha-D-吡喃葡萄糖基-(1→4)-alpha-D-吡喃葡萄糖苷
[CAS# 100111-14-6]

基本信息
英文名 4-Nitrophenyl O-6-deoxy-6-(2-pyridinylamino)-alpha-D-glucopyranosyl-(1→4)-O-alpha-D-glucopyranosyl-(1→4)-O-alpha-D-glucopyranosyl-(1→4)-O-alpha-D-glucopyranosyl-(1→4)-alpha-D-glucopyranoside
产品名称 4-硝基苯基 O-6-脱氧-6-(2-吡啶基氨基)-alpha-D-吡喃葡萄糖基-(1→4)-O-alpha-D-吡喃葡萄糖基-(1→4)-O-alpha-D-吡喃葡萄糖基-(1→4)-O-alpha-D-吡喃葡萄糖基-(1→4)-alpha-D-吡喃葡萄糖苷
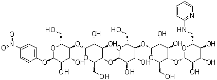
分子结构 CAS 登录号:100111-14-6, 4-硝基苯基 O-6-脱氧-6-(2-吡啶基氨基)-alpha-D-吡喃葡萄糖基-(1→4)-O-alpha-D-吡喃葡萄糖基-(1→4)-O-alpha-D-吡喃葡萄糖基-(1→4)-O-alpha-D-吡喃葡萄糖基-(1→4)-alpha-D-吡喃葡萄糖苷
分子式 C41H59N3O27
分子量 1025.91
CAS 登录号 100111-14-6
物理化学性质
溶解度 微溶 (3.2 g/L) (25 ºC), 计算值*
密度 1.75±0.1 g/cm3 (20 ºC 760 torr), 计算值*
* 使用计算软件 Advanced Chemistry Development (ACD/Labs) V11.02 (©1994-2014 ACD/Labs)
市场分析报告
请浏览4-硝基苯基 O-6-脱氧-6-(2-吡啶基氨基)-alpha-D-吡喃葡萄糖基-(1→4)-O-alpha-D-吡喃葡萄糖基-(1→4)-O-alpha-D-吡喃葡萄糖基-(1→4)-O-alpha-D-吡喃葡萄糖基-(1→4)-alpha-D-吡喃葡萄糖苷市场分析报告总目录
相关产品
2-硝基苯-beta-D-半乳糖苷  3-硝基苯基 beta-D-吡喃半乳糖苷  4-硝基苯基-D-吡喃葡糖苷  4-硝基苯基 alpha-D-吡喃半乳糖苷 2,6-二苯甲酸酯  2-硝基苯基 beta-D-吡喃半乳糖苷-6-磷酸酯环己基铵盐  4-硝基苯基 beta-D-吡喃半乳糖苷 3,4,6-三乙酸酯  4-硝基苯基 2-O-(6-脱氧-beta-L-吡喃半乳糖基)-beta-D-吡喃半乳糖苷  4-硝基苯基 O-6-脱氧-alpha-L-吡喃半乳糖基-(1→2)-O-beta-D-吡喃半乳糖基-(1→3)-2-(乙酰氨基)-2-脱氧-alpha-D-吡喃半乳糖苷  4-硝基苯基 O-6-脱氧-alpha-L-吡喃半乳糖基-(1→2)-O-beta-D-吡喃半乳糖基-(1→4)-2-(乙酰氨基)-2-脱氧-beta-D-吡喃葡萄糖苷  4-硝基苯基 O-6-脱氧-alpha-L-吡喃半乳糖基-(1→2)-O-beta-D-吡喃半乳糖基-(1→3)-2-(乙酰氨基)-2-脱氧-beta-D-吡喃葡萄糖苷  对硝基苯基-beta-N,N'-二乙酰基壳二糖苷  7-[2-(4-硝基苯基)偶氮]-4,10,16,19,24,27-六氧杂-1,13-二氮杂三环[11.8.8.1(5,9)]三十碳-5,7,9(30)-三烯-30-醇  3-(3-硝基苯基)-3H-双吖丙啶  4-硝基苯基二苯胺  N-7-(2-(硝基苯基二硫)乙基)丝裂霉素 C  对硝基间苯二胺  4-硝基邻苯二胺  4-硝基-1,3-苯二胺硫酸盐  N1-(3-硝基苯基)-1,2-乙二胺  N-(3-硝基苯基)-1,2-乙二胺单盐酸盐