Online Database of Chemicals from Around the World

辅酶A S-(氢3-羟基-3-甲基戊二酸酯)二钠盐
[CAS# 103476-21-7]

供应商目录
BOC Sciences 美国 询价快递  
+1 (631) 485-4226
info@bocsci.com
化学品生产商
chemBlink 标准供应商 (2010年起)
CarboMer, Inc. 美国 询价快递  
+1 (858) 552-0992
sales@carbomer.com
化学品生产商
辅酶A S-(氢3-羟基-3-甲基戊二酸酯)二钠盐供应商总目录
基本信息
英文名 Coenzyme A S-(hydrogen 3-hydroxy-3-methyl pentanedioate) disodium salt
产品名称 辅酶A S-(氢3-羟基-3-甲基戊二酸酯)二钠盐
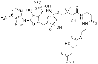
分子结构 CAS 登录号:103476-21-7, 辅酶A S-(氢3-羟基-3-甲基戊二酸酯)二钠盐
分子式 C27H42N7O20P3S.2Na
分子量 955.62
CAS 登录号 103476-21-7
市场分析报告
请浏览辅酶A S-(氢3-羟基-3-甲基戊二酸酯)二钠盐市场分析报告总目录
相关产品
β-维生素B12-c-单羧酸钴  交让木碱  还原型辅酶 II 四(环己胺)盐  可待因 beta-D-葡糖苷酸甲酯三乙酸酯  鱼肝油  腔肠素  腔肠素 cp  腔肠素-H  Coelonin  辅酶 A  辅酶 M  辅酶A钠盐水合物  辅酶 A S-十四烷酸酯锂盐  薏苡素  秋水仙素  盐酸考来维仑  考来替兰  盐酸考来替泊  硫酸粘杆菌素  Colistin-1,3,5,9-tetramethanesulfonic B acid