Online Database of Chemicals from Around the World

(3aS,4S,6aR)-N-[6-[[3-[[O-(N-Acetyl-alpha-neuraminosyl)-(2→6)-O-beta-D-galactopyranosyl-(1→4)-2-(acetylamino)-2-deoxy-beta-D-glucopyranosyl]oxy]propyl]amino]-6-oxohexyl]hexahydro-2-oxo-1H-thieno[3,4-d]imidazole-4-pentanamide
[CAS# 1038746-08-5]

Identification
Classification Organic raw materials >> Heterocyclic compound >> Imidazoles
Name (3aS,4S,6aR)-N-[6-[[3-[[O-(N-Acetyl-alpha-neuraminosyl)-(2→6)-O-beta-D-galactopyranosyl-(1→4)-2-(acetylamino)-2-deoxy-beta-D-glucopyranosyl]oxy]propyl]amino]-6-oxohexyl]hexahydro-2-oxo-1H-thieno[3,4-d]imidazole-4-pentanamide
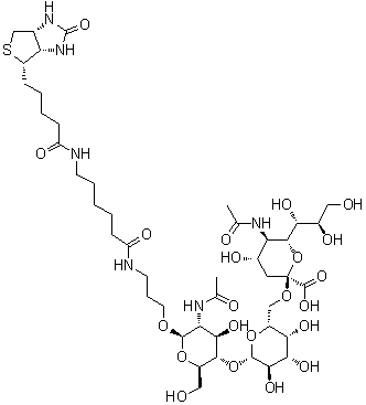
Molecular Structure CAS # 1038746-08-5, (3aS,4S,6aR)-N-[6-[[3-[[O-(N-Acetyl-alpha-neuraminosyl)-(2→6)-O-beta-D-galactopyranosyl-(1→4)-2-(acetylamino)-2-deoxy-beta-D-glucopyranosyl]oxy]propyl]amino]-6-oxohexyl]hexahydro-2-oxo-1H-thieno[3,4-d]imidazole-4-pentanamide
Molecular Formula C44H74N6O22S
Molecular Weight 1071.15
CAS Registry Number 1038746-08-5
Properties
Solubility Very slightly soluble (0.15 g/L) (25 ºC), Calc.*
Density 1.51±0.1 g/cm3 (20 ºC 760 Torr), Calc.*
* Calculated using Advanced Chemistry Development (ACD/Labs) Software V11.02 (©1994-2016 ACD/Labs)
Market Analysis Reports
List of Reports Available for (3aS,4S,6aR)-N-[6-[[3-[[O-(N-Acetyl-alpha-neuraminosyl)-(2→6)-O-beta-D-galactopyranosyl-(1→4)-2-(acetylamino)-2-deoxy-beta-D-glucopyranosyl]oxy]propyl]amino]-6-oxohexyl]hexahydro-2-oxo-1H-thieno[3,4-d]imidazole-4-pentanamide
Related Products
(R)-N-Acetyl-2-naphthylalanine  8-Acetylneosolaniol  N-Acetylneuraminic acid  N-Acetyl-alpha-neuraminic acid 7-acetate 2-(hydrogen 5'-cytidylate)  N-Acetylneuraminic acid methyl ester  O-(N-Acetyl-alpha-neuraminosyl)-(2→8)-O-(N-acetyl-alpha-neuraminosyl)-(2→3)-O-[O-(N-acetyl-alpha-neuraminosyl)-(2→3)-O-beta-D-galactopyranosyl-(1→3)-2-(acetylamino)-2-deoxy-beta-D-galactopyranosyl-(1→4)]-O-beta-D-galactopyranosyl-(1→4)-D-glucose  O-(N-Acetyl-alpha-neuraminosyl)-(2→3)-O-[O-(N-acetyl-alpha-neuraminosyl)-(2→3)-O-beta-D-galactopyranosyl-(1→3)-2-(acetylamino)-2-deoxy-beta-D-galactopyranosyl-(1→4)]-O-beta-D-galactopyranosyl-(1→4)-D-glucose  O-(N-Acetyl-alpha-neuraminosyl)-(2→6)-O-[O-6-deoxy-alpha-L-galactopyranosyl-(1→2)-beta-D-galactopyranosyl-(1→3)]-O-2-(acetylamino)-2-deoxy-beta-D-glucopyranosyl-(1→3)-O-beta-D-galactopyranosyl-(1→4)-D-glucose  O-(N-Acetyl-alpha-neuraminosyl)-(2→6)-O-beta-D-galactopyranosyl-(1→4)-2-(acetylamino)-2-deoxy-D-galactose  O-(N-Acetyl-alpha-neuraminosyl)-(2→6)-O-beta-D-galactopyranosyl-(1→4)-O-2-(acetylamino)-2-deoxy-beta-D-glucopyranosyl-(1→2)-O-alpha-D-mannopyranosyl-(1→3)-O-[O-(N-acetyl-alpha-neuraminosyl)-(2→6)-O-beta-D-galactopyranosyl-(1→4)-O-2-(acetylamino)-2-deoxy-beta-D-glucopyranosyl-(1→2)-alpha-D-mannopyranosyl-(1→6)]-O-beta-D-mannopyranosyl-(1→4)-O-2-(acetylamino)-2-deoxy-beta-D-glucopyranosyl-(1→4)-2-(acetylamino)-2-deoxy-D-glucose  (3aS,4S,6aR)-N-[6-[[3-[[O-(N-Acetyl-alpha-neuraminosyl)-(2→3)-O-beta-D-galactopyranosyl-(1→3)-2-(acetylamino)-2-deoxy-D-glucopyranosyl]oxy]propyl]amino]-6-oxohexyl]hexahydro-2-oxo-1H-thieno[3,4-d]imidazole-4-pentanamide  (3aS,4S,6aR)-N-[6-[[3-[[O-(N-Acetyl-alpha-neuraminosyl)-(2→3)-O-alpha-D-galactopyranosyl-(1→3)-O-[6-deoxy-alpha-L-galactopyranosyl-(1→4)]-2-(acetylamino)-2-deoxy-beta-D-glucopyranosyl]oxy]propyl]amino]-6-oxohexyl]hexahydro-2-oxo-1H-thieno[3,4-d]imidazole-4-pentanamide  [3aS-(3aalpha,4beta,6aalpha)]-N-[6-[[O-(N-Acetyl-alpha-neuraminosyl)-(2→3)-O-beta-D-galactopyranosyl-(1→4)-D-glucopyranosyl]amino]-6-oxohexyl]hexahydro-2-oxo-1H-thieno[3,4-d]imidazole-4-pentanamide  (2-Acetyl-4-methylpentyl)trimethylammonium iodide  2-Acetyl-6-methylphenol  N-Acetyl-4-[5-(4-methylphenyl)-3-trifluoromethyl-1H-pyrazol-1-yl]benzenesulfonamide  1-Acetyl-N-methyl-4-piperidinamine monohydrochloride  3-acetyl-6-methyl-2H-Pyran-2,4(3H)-dione sodium salt monohydrate  2-Acetyl-3-methylpyrazine  3-Acetyl-5-methylpyrazole