Online Database of Chemicals from Around the World

3-[(O-beta-D-Glucopyranosyl-(1→3)-O-6-deoxy-alpha-L-mannopyranosyl-(1→2)-alpha-L-arabinopyranosyl)oxy]-olean-12-en-28-oic acid
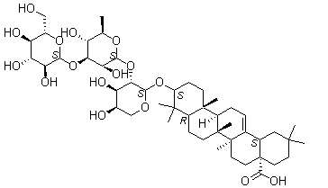
[CAS# 103956-33-8]

List of Suppliers
BOC Sciences USA Inquire  
+1 (631) 485-4226
info@bocsci.com
Chemical manufacturer
chemBlink standard supplier since 2010
Chengdu Must Bio-technology Co., Ltd. China Inquire  
+86 (28) 8528-7229
anniedai0203@gmail.com
Chemical manufacturer since 2007
chemBlink standard supplier since 2012
Chengdu Biopurify Phytochemicals Ltd. China Inquire  
+86 (28) 8263-3860
8263-3987
sales@biopurify.com
biopurify@gmail.com
Skype Chat
QQ chat
Chemical manufacturer
chemBlink standard supplier since 2017
Neostar United (Changzhou) Industrial Co., Ltd. China Inquire  
+86 (519) 8555-7386
+86 18015025600
marketing1@neostarunited.com
Chemical distributor since 2014
chemBlink standard supplier since 2020
Indofine Chemical Company, Inc. USA Inquire  
+1 (888) 463-6346
info@indofinechemical.com
Chemical manufacturer since 1981
Complete supplier list of 3-[(O-beta-D-Glucopyranosyl-(1→3)-O-6-deoxy-alpha-L-mannopyranosyl-(1→2)-alpha-L-arabinopyranosyl)oxy]-olean-12-en-28-oic acid
Identification
Name 3-[(O-beta-D-Glucopyranosyl-(1→3)-O-6-deoxy-alpha-L-mannopyranosyl-(1→2)-alpha-L-arabinopyranosyl)oxy]-olean-12-en-28-oic acid
Molecular Structure CAS # 103956-33-8, 3-[(O-beta-D-Glucopyranosyl-(1→3)-O-6-deoxy-alpha-L-mannopyranosyl-(1→2)-alpha-L-arabinopyranosyl)oxy]-olean-12-en-28-oic acid
Molecular Formula C47H76O16
Molecular Weight 897.10
CAS Registry Number 103956-33-8
Properties
Solubility Insoluble (2.9E-4 g/L) (25 ºC), Calc.*
Density 1.36±0.1 g/cm3 (20 ºC 760 Torr), Calc.*
Melting point 245-250 ºC**
* Calculated using Advanced Chemistry Development (ACD/Labs) Software V11.02 (©1994-2013 ACD/Labs)
** Bang, Seong-Cheol; Chemical & Pharmaceutical Bulletin 2005, V53(11), P1451-1454.
Market Analysis Reports
List of Reports Available for 3-[(O-beta-D-Glucopyranosyl-(1→3)-O-6-deoxy-alpha-L-mannopyranosyl-(1→2)-alpha-L-arabinopyranosyl)oxy]-olean-12-en-28-oic acid
Related Products
2-[3-[1-[17-(alpha-D-Glucopyranosyloxy)-5-oxo-9,12-dioxa-6,15-diazaheptadec-1-yl]-1,3-dihydro-3,3-dimethyl-2H-indol-2-ylidene]-1-propen-1-yl]-1,3,3-trimethyl-3H-indolium  (3beta)-28-(beta-D-Glucopyranosyloxy)-28-oxoolean-12-en-3-yl O-alpha-L-arabinopyranosyl-(1→3)-O-[beta-D-xylopyranosyl-(1→2)]-beta-D-glucopyranosiduronic acid  3-[4-(beta-D-Glucopyranosyloxy)phenyl]-2-propenoic acid  (2Z)-3-[4-(beta-D-Glucopyranosyloxy)phenyl]-2-propenoic acid  6-(beta-D-Glucopyranosyloxy)salicylic acid methyl ester  alpha-D-Glucopyranosyl phosphate barium salt  (2E)-4-[(9-beta-D-Glucopyranosyl-9H-purin-6-yl)amino]-2-methyl-2-buten-1-yl beta-D-glucopyranoside  3-[[(9-beta-D-Glucopyranosyl-9H-purin-6-yl)amino]methyl]phenol  4-[[(9-beta-D-Glucopyranosyl-9H-purin-6-yl)amino]methyl]phenol  2-[[(9-beta-D-Glucopyranosyl-9H-purin-6-yl)amino]methyl]phenol  2-O-beta-Glucopyranosylsalicylic acid  2-S-beta-D-Glucopyranosyl-2-thio-D-glucose  1-(3-beta-D-Glucopyranosyl-2,4,6-trihydroxyphenyl)-3-(4-hydroxyphenyl)-1-propanone  4-beta-D-Glucopyranosyl-1,3,7-trihydroxy-9H-xanthen-9-one  beta-D-Glucopyranuronic acid 1-(2-((benzyloxy)carbonyl)benzoate)  [2S-[1[R*(R*)],2alpha,3abeta,7abeta]]-beta-D-Glucopyranuronic acid 1-[1-[2-[(1-carboxybutyl)amino]-1-oxopropyl]octahydro-1H-indole-2-carboxylate]  beta-D-Glucopyranuronic acid 1-[6-(4-chlorophenyl)-2,3-dihydro-2,2-dimethyl-7-phenyl-1H-pyrrolizine-5-acetate]  alpha-D-Glucopyranuronic acid 1-(dihydrogen phosphate) potassium salt  alpha-D-Glucopyranuronic acid 1-(dihydrogen phosphate) tripotassium salt  beta-D-Glucopyranuronic acid 1-[N-[(1R)-3-[5,6-dihydro-3-(trifluoromethyl)-1,2,4-triazolo[4,3-a]pyrazin-7(8H)-yl]-3-oxo-1-[(2,4,5-trifluorophenyl)methyl]propyl]carbamate]