Online Database of Chemicals from Around the World
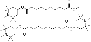
Decanedioic acid 1,10-bis(1,2,2,6,6-pentamethyl-4-piperidinyl) ester mixt. with 1-methyl 10-(1,2,2,6,6-pentamethyl-4-piperidinyl) decanedioate
[CAS# 1065336-91-5]
Identification
| Name |
Decanedioic acid 1,10-bis(1,2,2,6,6-pentamethyl-4-piperidinyl) ester mixt. with 1-methyl 10-(1,2,2,6,6-pentamethyl-4-piperidinyl) decanedioate |
|
| Molecular Structure |
 |
| Molecular Formula |
C30H56N2O4.C21H39NO4 |
| CAS Registry Number |
1065336-91-5 |
| EC Number |
915-687-0 |
|
Safety Data
|
Hazard Classification |
|
| Hazard | Class | Category Code | Hazard Statement |
|---|
| Chronic hazardous to the aquatic environment | Aquatic Chronic | 1 | H410 | | Acute hazardous to the aquatic environment | Aquatic Acute | 1 | H400 | | Skin sensitization | Skin Sens. | 1A | H317 | | Reproductive toxicity | Repr. | 2 | H361 | | Skin sensitization | Skin Sens. | 1 | H317 | | Reproductive toxicity | Repr. | 2 | H361f | | Chronic hazardous to the aquatic environment | Aquatic Chronic | 2 | H411 | |
|
|
Related Products
Decatol Decamethylcyclopentasiloxane Decamethylferrocenium hexafluorophosphate Decamethylnickelocene Decamethyltetrasiloxane Decametoxin Decanal Decane Decanedihydrazide Decanedioic acid 1,10-bis(2-benzoylhydrazide) Decanedioic acid, compd. with N-(2-aminoethyl)-N'-[2-[(2-aminoethyl)amino]ethyl]-1,2-ethanediamine Decanedioic acid, compd. with 2,2'-iminobis[ethanol] (1:1) Decanedioic acid 1-ethyl ester Decanedioic acid sodium salt (2R)-1,2-Decanediol (S)-1,2-Decanediol 1,10-Decanediol 1,2-Decanediol 1,10-Decanediol diacrylate 1,10-Decanediol dimethacrylate