Online Database of Chemicals from Around the World

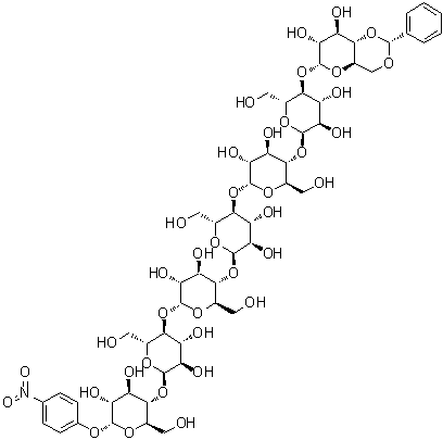
4-Nitrophenyl O-4,6-O-(phenylmethylene)-alpha-D-glucopyranosyl-(1→4)-O-alpha-D-glucopyranosyl-(1→4)-O-alpha-D-glucopyranosyl-(1→4)-O-alpha-D-glucopyranosyl-(1→4)-O-alpha-D-glucopyranosyl-(1→4)-O-alpha-D-glucopyranosyl-(1→4)-alpha-D-glucopyranoside
[CAS# 109055-07-4]

Identification
Name 4-Nitrophenyl O-4,6-O-(phenylmethylene)-alpha-D-glucopyranosyl-(1→4)-O-alpha-D-glucopyranosyl-(1→4)-O-alpha-D-glucopyranosyl-(1→4)-O-alpha-D-glucopyranosyl-(1→4)-O-alpha-D-glucopyranosyl-(1→4)-O-alpha-D-glucopyranosyl-(1→4)-alpha-D-glucopyranoside
Molecular Structure CAS # 109055-07-4, 4-Nitrophenyl O-4,6-O-(phenylmethylene)-alpha-D-glucopyranosyl-(1→4)-O-alpha-D-glucopyranosyl-(1→4)-O-alpha-D-glucopyranosyl-(1→4)-O-alpha-D-glucopyranosyl-(1→4)-O-alpha-D-glucopyranosyl-(1→4)-O-alpha-D-glucopyranosyl-(1→4)-alpha-D-glucopyranoside
Molecular Formula C55H79NO38
Molecular Weight 1362.20
CAS Registry Number 109055-07-4
Properties
Solubility Slightly soluble (2.5 g/L) (25 ºC), Calc.*
Density 1.79±0.1 g/cm3 (20 ºC 760 Torr), Calc.*
* Calculated using Advanced Chemistry Development (ACD/Labs) Software V11.02 (©1994-2016 ACD/Labs)
Market Analysis Reports
List of Reports Available for 4-Nitrophenyl O-4,6-O-(phenylmethylene)-alpha-D-glucopyranosyl-(1→4)-O-alpha-D-glucopyranosyl-(1→4)-O-alpha-D-glucopyranosyl-(1→4)-O-alpha-D-glucopyranosyl-(1→4)-O-alpha-D-glucopyranosyl-(1→4)-O-alpha-D-glucopyranosyl-(1→4)-alpha-D-glucopyranoside
Related Products
(2-Nitrophenyl)oxirane  4-[2-(4-Nitrophenyl)-2-oxoacetyl]benzoic acid  N-(3-Nitrophenyl)-3-oxobutanamide  N-(2-Nitrophenyl)-3-oxobutanamide  N-(4-Nitrophenyl)-3-oxobutyramide  4-Nitrophenyl palmitate  2-Nitrophenyl palmitate  3-(4-Nitrophenyl)pentanedioic acid  2-Nitrophenyl phenyl ether  4-Nitrophenyl 4,6-O-(phenylmethylene)-beta-D-glucopyranoside  4-Nitrophenyl phenyl sulfide  2-Nitrophenyl phenyl sulfone  4-Nitrophenyl phosphate bis(cyclohexylammonium) salt  4-Nitrophenyl phosphate disodium salt hexahydrate  4-Nitrophenyl phosphoryldichloride  1-(4-Nitrophenyl)piperazine  1-(2-Nitrophenyl)piperazine  2-(3-Nitrophenyl)piperazine  1-(3-Nitrophenyl)piperazine  1-(3-Nitrophenyl)-2-piperazinone